【药物名称】TAK-779
化学结构式(Chemical Structure):
参考文献No.39810
标题:Anilide deriv., production and use thereof
作者:Kitayoshi, T.; Aramaki, Y.; Oda, T.; Honda, S.; Shiraishi, M. (Takeda Chemical Industries, Ltd.)
来源:JP 1999263764; WO 9932468
合成路线图解说明:

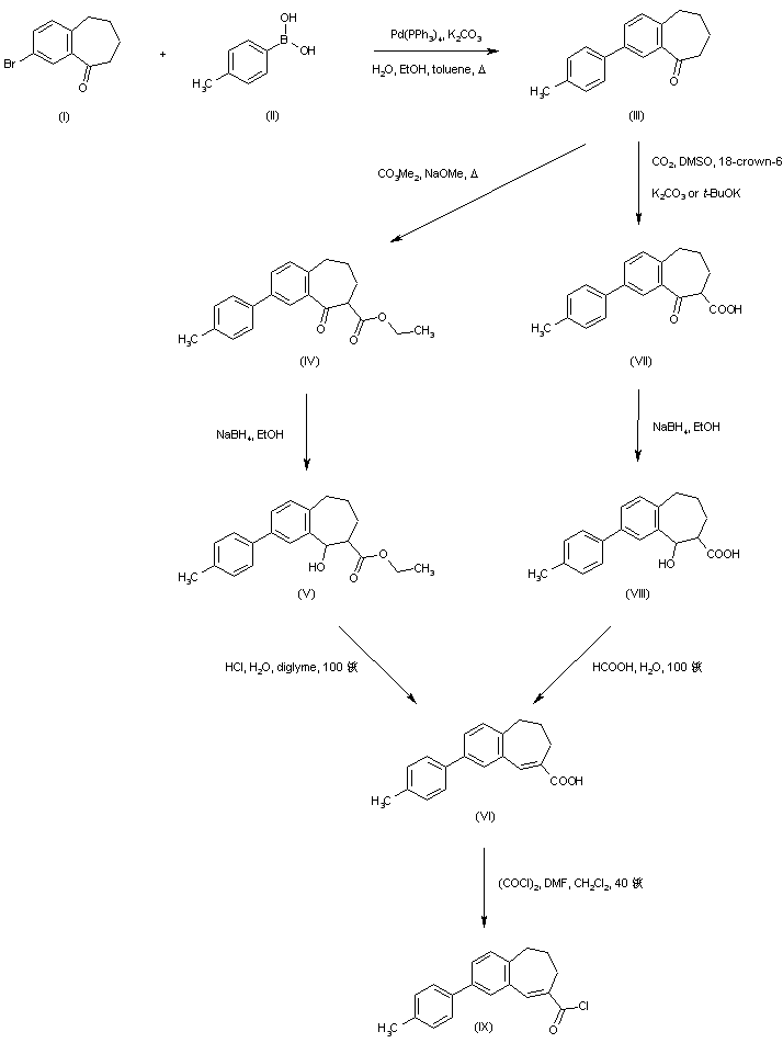
Suzuki coupling of 3-bromo-6,7,8,9-tetrahydro-5H-benzocyclohepten-5-one (I) with 4-methylphenylboronic acid (II) by means of palladium tetrakis(triphenylphosphine) gave (III). Subsequent refluxing of (III) with dimethyl carbonate in the presence of NaOMe afforded ketoester (IV). This was reduced with NaBH4 to give hydroxy ester (V), which was then dehydrated and hydrolyzed to the unsaturated acid (VI) with HCl in diglyme at 100 C. Alternatively, ketone (III) was carboxylated under CO2 atmosphere in the presence of either potassium carbonate or potassium tert-butoxide. The resulting ketoacid (VII) was reduced to hydroxyacid (VIII) with NaBH4, and then dehydrated to (VI) using 80% formic acid at 100 C. Carboxylic acid (VI) was then converted to the corresponding acid chloride (IX) by means of oxalyl chloride in CH2Cl2.

合成路线图解说明:

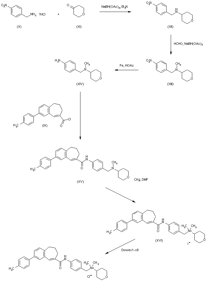
Reductive condensation of p-nitrobenzylamine (X) with tetrahydropyran-4-one (XI) in the presence of sodium triacetoxyborohydride gave the tetrahydropyranylamine (XII), and further reductive condensation with formaldehyde afforded the tertiary amine (XIII). Reduction of the nitro group of (XIII) with iron in acetic acid yielded aniline (XIV), which was coupled with acid chloride (IX) to give amide (XV). Quaternization of (XV) with methyl iodide in DMF produced the ammonium iodide (XVI). This was finally converted to the title chloride salt employing an ion exchange resin.

合成路线图解说明:

The reaction of the benzocycloheptanone (I) with dimethylcarbonate in the presence of NaOMe gave the beta-ketoester (II). The benzocycloheptene-8-carboxylic acid (III) was prepared by NaBH4 reduction of (II) in CH2Cl2/MeOH and subsequent dehydration by mesylation and treatment with 1,8-diazabicyclo[5.4.0]undec-7-ene (DBU) in THF and alkaline hydrolysis. On the other hand, the aniline (VII) was obtained by reductive aminations of 4-nitrobenzylamine (IV) successively with tetrahydropyran-4-one (V) and formalin in 1,2-dichloroethane using NaBH(OAc)3, followed by Fe reduction in AcOH or hydrogenation in EtOH of the resulting nitrobenzylamine (VI). The carboxylic acid (III) was reacted with oxalyl chloride in CH2Cl2/cat. DMF to afford the acid chloride, which was condensed with the aniline (VII) in THF/Et3N to give the anilide derivative (VIII). Compound (VIII) was treated with iodomethane in DMF to provide the quaternary ammonium iodide, which was converted to TAK-779 using ion exchange resin (Cl-).

合成路线图解说明:

Coupling of the carboxylic acid (III) with the O-protected 4-aminobenzylalcohol (IX) as above and subsequent deprotection of the tert-butyldimethylsilyl (TBDMS) group with 6N HCl in acetone gave the benzylalcohol (X), which was reacted with thionyl chloride in chloroform/cat. pyridine to provide the benzylchloride (XI). Treatment of (XI) with the tertiary amine (XII) in DMF yielded TAK-779.

参考文献No.41590
标题:Pharmaceutical composition for antagonizing CCR5 comprising anilide derivative
作者:Kuroshima, K.; Kanzaki, N.; Nishimura, O.; Shiraishi, M.; Sawada, H.; Baba, M.; Aramaki, Y. (Takeda Chemical Industries, Ltd.)
来源:JP 2000128782; JP 2000128842; US 6096780; WO 9932100
合成路线图解说明:

The reaction of the benzocycloheptanone (I) with dimethylcarbonate in the presence of NaOMe gave the beta-ketoester (II). The benzocycloheptene-8-carboxylic acid (III) was prepared by NaBH4 reduction of (II) in CH2Cl2/MeOH and subsequent dehydration by mesylation and treatment with 1,8-diazabicyclo[5.4.0]undec-7-ene (DBU) in THF and alkaline hydrolysis. On the other hand, the aniline (VII) was obtained by reductive aminations of 4-nitrobenzylamine (IV) successively with tetrahydropyran-4-one (V) and formalin in 1,2-dichloroethane using NaBH(OAc)3, followed by Fe reduction in AcOH or hydrogenation in EtOH of the resulting nitrobenzylamine (VI). The carboxylic acid (III) was reacted with oxalyl chloride in CH2Cl2/cat. DMF to afford the acid chloride, which was condensed with the aniline (VII) in THF/Et3N to give the anilide derivative (VIII). Compound (VIII) was treated with iodomethane in DMF to provide the quaternary ammonium iodide, which was converted to TAK-779 using ion exchange resin (Cl-).

合成路线图解说明:

Coupling of the carboxylic acid (III) with the O-protected 4-aminobenzylalcohol (IX) as above and subsequent deprotection of the tert-butyldimethylsilyl (TBDMS) group with 6N HCl in acetone gave the benzylalcohol (X), which was reacted with thionyl chloride in chloroform/cat. pyridine to provide the benzylchloride (XI). Treatment of (XI) with the tertiary amine (XII) in DMF yielded TAK-779.

参考文献No.550599
标题:TAK-779, a small molecule CCR5 antagonist: Design, synthesis, and in vitro activity of anilide derivatives
作者:Shiraishi, M.; Seto, M.; Aramaki, Y.; et al.
来源:39th Intersci Conf Antimicrob Agents Chemother (Sept 26 1999, San Francisco) 1999,Abst F911
合成路线图解说明:

The reaction of the benzocycloheptanone (I) with dimethylcarbonate in the presence of NaOMe gave the beta-ketoester (II). The benzocycloheptene-8-carboxylic acid (III) was prepared by NaBH4 reduction of (II) in CH2Cl2/MeOH and subsequent dehydration by mesylation and treatment with 1,8-diazabicyclo[5.4.0]undec-7-ene (DBU) in THF and alkaline hydrolysis. On the other hand, the aniline (VII) was obtained by reductive aminations of 4-nitrobenzylamine (IV) successively with tetrahydropyran-4-one (V) and formalin in 1,2-dichloroethane using NaBH(OAc)3, followed by Fe reduction in AcOH or hydrogenation in EtOH of the resulting nitrobenzylamine (VI). The carboxylic acid (III) was reacted with oxalyl chloride in CH2Cl2/cat. DMF to afford the acid chloride, which was condensed with the aniline (VII) in THF/Et3N to give the anilide derivative (VIII). Compound (VIII) was treated with iodomethane in DMF to provide the quaternary ammonium iodide, which was converted to TAK-779 using ion exchange resin (Cl-).

合成路线图解说明:

Coupling of the carboxylic acid (III) with the O-protected 4-aminobenzylalcohol (IX) as above and subsequent deprotection of the tert-butyldimethylsilyl (TBDMS) group with 6N HCl in acetone gave the benzylalcohol (X), which was reacted with thionyl chloride in chloroform/cat. pyridine to provide the benzylchloride (XI). Treatment of (XI) with the tertiary amine (XII) in DMF yielded TAK-779.

参考文献No.558208
标题:Discovery of small molecule CCR5 antagonists
作者:Shiraishi, M.; Aramaki, Y.; Seto, M.; et al.
来源:19th Symp Med Chem and 8th Annu Meet Div Med Chem Jpn (Nov 17-19, Tokyo) 1999,Abst 2P-06
合成路线图解说明:

Suzuki coupling of 3-bromo-6,7,8,9-tetrahydro-5H-benzocyclohepten-5-one (I) with 4-methylphenylboronic acid (II) by means of palladium tetrakis(triphenylphosphine) gave (III). Subsequent refluxing of (III) with dimethyl carbonate in the presence of NaOMe afforded ketoester (IV). This was reduced with NaBH4 to give hydroxy ester (V), which was then dehydrated and hydrolyzed to the unsaturated acid (VI) with HCl in diglyme at 100 C. Alternatively, ketone (III) was carboxylated under CO2 atmosphere in the presence of either potassium carbonate or potassium tert-butoxide. The resulting ketoacid (VII) was reduced to hydroxyacid (VIII) with NaBH4, and then dehydrated to (VI) using 80% formic acid at 100 C. Carboxylic acid (VI) was then converted to the corresponding acid chloride (IX) by means of oxalyl chloride in CH2Cl2.

合成路线图解说明:

The reaction of the benzocycloheptanone (I) with dimethylcarbonate in the presence of NaOMe gave the beta-ketoester (II). The benzocycloheptene-8-carboxylic acid (III) was prepared by NaBH4 reduction of (II) in CH2Cl2/MeOH and subsequent dehydration by mesylation and treatment with 1,8-diazabicyclo[5.4.0]undec-7-ene (DBU) in THF and alkaline hydrolysis. On the other hand, the aniline (VII) was obtained by reductive aminations of 4-nitrobenzylamine (IV) successively with tetrahydropyran-4-one (V) and formalin in 1,2-dichloroethane using NaBH(OAc)3, followed by Fe reduction in AcOH or hydrogenation in EtOH of the resulting nitrobenzylamine (VI). The carboxylic acid (III) was reacted with oxalyl chloride in CH2Cl2/cat. DMF to afford the acid chloride, which was condensed with the aniline (VII) in THF/Et3N to give the anilide derivative (VIII). Compound (VIII) was treated with iodomethane in DMF to provide the quaternary ammonium iodide, which was converted to TAK-779 using ion exchange resin (Cl-).

合成路线图解说明:

Coupling of the carboxylic acid (III) with the O-protected 4-aminobenzylalcohol (IX) as above and subsequent deprotection of the tert-butyldimethylsilyl (TBDMS) group with 6N HCl in acetone gave the benzylalcohol (X), which was reacted with thionyl chloride in chloroform/cat. pyridine to provide the benzylchloride (XI). Treatment of (XI) with the tertiary amine (XII) in DMF yielded TAK-779.

参考文献No.568833
标题:TAK-779
作者:Kanzaki, N.; Shiraishi, M.; Fujino, M.; Nishimura, O.; Baba, M.; Lizawa, Y.
来源:Drugs Fut 2000,25(3),252
合成路线图解说明:

The reaction of the benzocycloheptanone (I) with dimethylcarbonate in the presence of NaOMe gave the beta-ketoester (II). The benzocycloheptene-8-carboxylic acid (III) was prepared by NaBH4 reduction of (II) in CH2Cl2/MeOH and subsequent dehydration by mesylation and treatment with 1,8-diazabicyclo[5.4.0]undec-7-ene (DBU) in THF and alkaline hydrolysis. On the other hand, the aniline (VII) was obtained by reductive aminations of 4-nitrobenzylamine (IV) successively with tetrahydropyran-4-one (V) and formalin in 1,2-dichloroethane using NaBH(OAc)3, followed by Fe reduction in AcOH or hydrogenation in EtOH of the resulting nitrobenzylamine (VI). The carboxylic acid (III) was reacted with oxalyl chloride in CH2Cl2/cat. DMF to afford the acid chloride, which was condensed with the aniline (VII) in THF/Et3N to give the anilide derivative (VIII). Compound (VIII) was treated with iodomethane in DMF to provide the quaternary ammonium iodide, which was converted to TAK-779 using ion exchange resin (Cl-).

合成路线图解说明:

Coupling of the carboxylic acid (III) with the O-protected 4-aminobenzylalcohol (IX) as above and subsequent deprotection of the tert-butyldimethylsilyl (TBDMS) group with 6N HCl in acetone gave the benzylalcohol (X), which was reacted with thionyl chloride in chloroform/cat. pyridine to provide the benzylchloride (XI). Treatment of (XI) with the tertiary amine (XII) in DMF yielded TAK-779.

参考文献No.574773
标题:Discovery of novel, potent, and selective small-molecule CCR5 antagonists as anti-HIV-1 agents: Synthesis and biological evaluation of anilide derivatives with a quaternary ammonium moiety
作者:Shiraishi, M.; Aramaki, Y.; Seto, M.; Imoto, H.; Nishikawa, Y.; Kanzaki, N.; Okamoto, M.; Sawada, H.; Nishimura, O.; Baba, M.; Fujino, M.
来源:J Med Chem 2000,43(10),2049
合成路线图解说明:

The reaction of the benzocycloheptanone (I) with dimethylcarbonate in the presence of NaOMe gave the beta-ketoester (II). The benzocycloheptene-8-carboxylic acid (III) was prepared by NaBH4 reduction of (II) in CH2Cl2/MeOH and subsequent dehydration by mesylation and treatment with 1,8-diazabicyclo[5.4.0]undec-7-ene (DBU) in THF and alkaline hydrolysis. On the other hand, the aniline (VII) was obtained by reductive aminations of 4-nitrobenzylamine (IV) successively with tetrahydropyran-4-one (V) and formalin in 1,2-dichloroethane using NaBH(OAc)3, followed by Fe reduction in AcOH or hydrogenation in EtOH of the resulting nitrobenzylamine (VI). The carboxylic acid (III) was reacted with oxalyl chloride in CH2Cl2/cat. DMF to afford the acid chloride, which was condensed with the aniline (VII) in THF/Et3N to give the anilide derivative (VIII). Compound (VIII) was treated with iodomethane in DMF to provide the quaternary ammonium iodide, which was converted to TAK-779 using ion exchange resin (Cl-).

合成路线图解说明:

Coupling of the carboxylic acid (III) with the O-protected 4-aminobenzylalcohol (IX) as above and subsequent deprotection of the tert-butyldimethylsilyl (TBDMS) group with 6N HCl in acetone gave the benzylalcohol (X), which was reacted with thionyl chloride in chloroform/cat. pyridine to provide the benzylchloride (XI). Treatment of (XI) with the tertiary amine (XII) in DMF yielded TAK-779.

参考文献No.603208
标题:Development of a new synthetic route of a non-peptide CCR5 antagonist, TAK-779, for large-scale preparation
作者:Ikemoto, T.; Hashimoto, H.; Kaarasaki, T.; Tomimatsu, K.; Ito, T.; Nishiguchi, A.; Wakimasu, M.; Mitsudera, H.
来源:Org Process Res Dev 2000,4(6),520
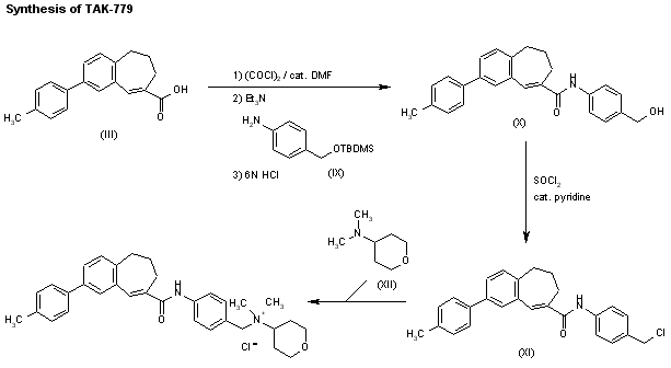
合成路线图解说明:

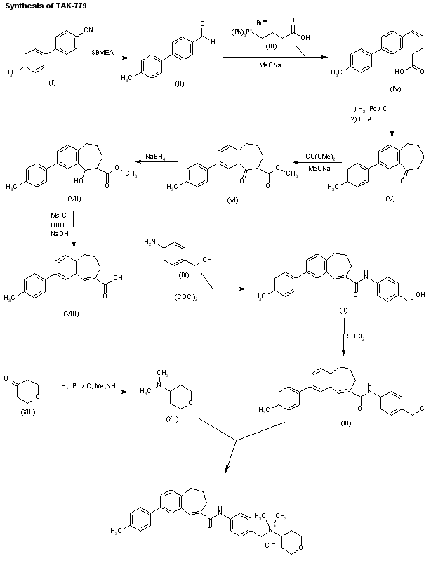
A new large-scaleable synthesis of TAK-779 has been developed: The reduction of 4'-methylbiphenyl-4-carbonitrile (I) with sodium bis(2-methoxyethoxy)aluminum hydride (SBMEA) in THF gives the corresponding aldehyde (II), which is submitted to a Wittig condensation with the phosphonium bromide (III) by means of NaOMe in methanol to yield the pentenoic acid derivative (IV). Reduction of the double bond of (IV) with H2 over Pd/C in THF, followed by cyclization with hot PPA affords the benzocycloheptanone (V), which is treated with refluxing dimethyl carbonate and NaOMe to provide the beta-ketoester (VI). The reduction of (VI) with NaBH4 in THF gives the hydroxyester (VII), which is dehydrated with Ms-Cl and DBU and hydrolyzed with NaOH to yield 8-(4-methylphenyl)benzocyclohept-1-ene-2-carboxylic acid (VIII). Condensation of (VIII) with 4-aminobenzyl alcohol (IX) by means of (COCl)2 and TEA in THF affords the corresponding amide (X), which is treated with SOCl2 in THF to provide the chloromethyl derivative (XI). Finally, this compound is condensed with 4-(dimethylamino)tetrahydropyran (XII) in hot DMF to furnish the target ammonium salt. The tertiary amine (XII) has been obtained by reductive condensation of tetrahydropyran-4-one (XIII) with dimethylamine by means of H2 over Pd/C in THF.

参考文献No.611417
标题:Convenient efficient synthesis of TAK-779, a nonpeptide CCR5 antagonist: Development of preparation of various ammonium salts using trialkylphosphite and N-halogenosuccinimide
作者:Ikemoto, T.; et al.
来源:Tetrahedron 2001,57(8),1525
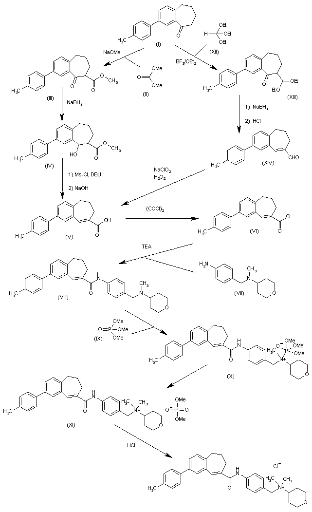
合成路线图解说明:

1. The reaction of benzocycloheptanone (I) with dimethyl carbonate (II) and NaOMe gives the beta ketoester (III), which is reduced with NaBH4 in methanol to yield the hydroxyester (IV). The dehydration of (IV) by means of Ms-Cl and DBU, followed by hydrolysis with NaOH, affords the unsaturated carboxylic acid (V), which by reaction with oxalyl chloride is converted into the acyl chloride (VI). The condensation of (V) with aniline (VII) by means of TEA in DMF provides the amide (VIII), which by reaction with trimethyl phosphate (IX) gives the adduct (X), which rearranges to the ammonium phosphate (XI). Finally, this compound is converted into the target ammonium chloride by treatment with HCl. 2. Alternatively, benzocycloheptanone (I) is condensed with triethyl orthoformate (XII) by means of BF3 /Et2O giving the aldehyde diethyl acetal (XIII), which by reduction with NaBH4 and dehydration with 6N HCl yields the unsaturated aldehyde (XIV). Finally, this compound is oxidized with NaClO2 and H2O2 in toluene/phosphate buffer to afford the already reported unsaturated carboxylic acid (V).

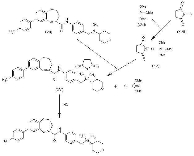
合成路线图解说明:

The reaction of the already reported amide (VIII) with phosphonate salt (XV) gives the succinimide ammonium salt (XVI), which is finally treated with HCl in acetone to yield the target quaternary ammonium chloride derivative. The phosphonate salt (XV) is obtained by reaction of trimethyl phosphite (XVII) with N-chlorosuccinimide (XVIII) in trimethyl phosphate.

参考文献No.659667
标题:Process development of 4-[N-methyl-N-(tetrahydropyran-4-yl)aminomethyl]aniline dihydrochloride: A key intermediate for TAK-779, a small-molecule nonpeptide CCR5 antagonist
作者:Hashimoto, H.; et al.
来源:Org Process Res Dev 2002,6(1),70
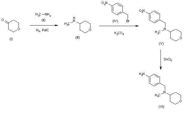
合成路线图解说明:

The reductocondensation of tetrahydropyran-4-one (I) with methylamine (II) by means of H2 over Pd/C in methanol gives 4-(methylamino)tetrahydropyran (III), which is then alkylated with 4-nitrobenzyl bromide (IV) and K2CO3 in DMF to yield the tertiary amine (V). Finally, the nitro group of (V) is educed with SnCl2 and conc. aq. HCl to afford N-(4-aminobenzyl)-N-methyl-N-(tetrahydropyran-4-yl)amine, the target intermediate (VI).

Drug Information Express,Drug R&D,Chemical Database,Patent Search.
Copyright © 2006-2026 Drug Future. All rights reserved.Contact Us