【药物名称】
化学结构式(Chemical Structure):
参考文献No.534875
标题:Synthesis and dopamine receptor modulating activity of novel peptidomimetics of L-prolyl-L-leucyl-glycinamide featuring alpha,alpha-disubstituted amino acids
作者:Evans, M.C.; Pradhan, A.; Venkatraman, S.; Ojala, W.H.; Gleason, W.B.; Mishra, R.K.; Johnson, R.L.
来源:J Med Chem 1999,42(8),1441
合成路线图解说明:

This compound has been obtained by two related ways: 1) The reaction of 1-(tert-butoxycarbonylamino)cyclopentane-1-carboxylic acid (I) with ammonia, EDC and HOBT gives the amide (II), which is deprotected with 4N HCl and condensed with N-(tert-butoxycarbonyl)-D-methionine (III) by means of EDC and HOBT yielding the dipeptide (IV). The cyclization of (IV) with methyl iodide and NaH affords the pyrrolidinone (V), which is deprotected with HCl and condensed with 1-(benzyloxycarbonyl)-L-proline (VI) by means of EDC and HOBT giving the protected seudopeptide (VII). Finally, this compound is deprotected by hydrogenation with H2 over Pd/C. 2) The deprotection of (V) with HCl and its condensation with 1-(tert-butoxycarbonyl)-L-proline (VIII) by means of EDC and HOBT gives the protected seudopeptide (IX), which is finally deprotected with 4N HCl.

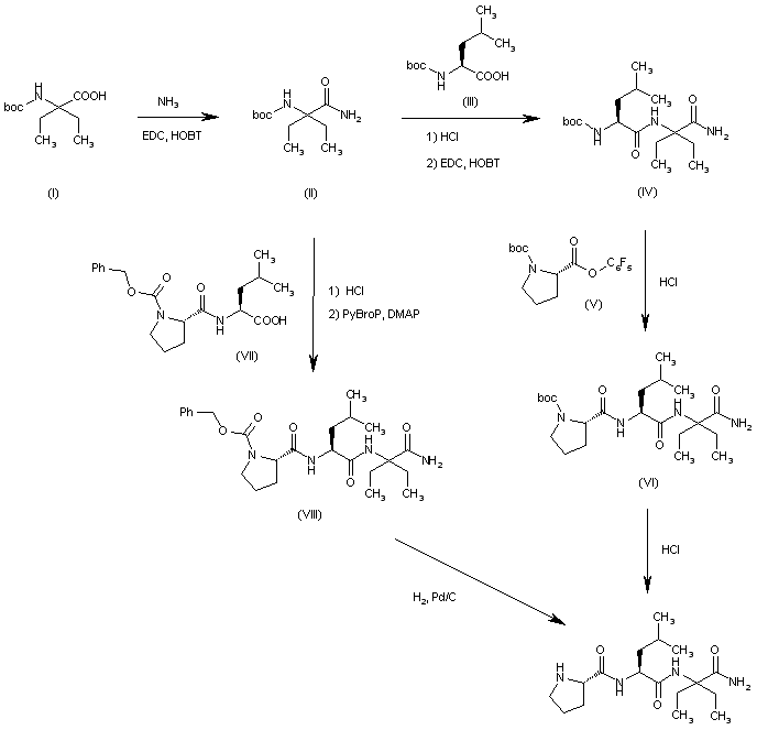
合成路线图解说明:

This compound has been obtained by two different ways: 1) The reaction of 2-(tert-butoxycarbonyl)-2-ethylbutyric acid (I) with ammonia, EDC and HOBT gives the amide (II), which is deprotected with 4N HCl and condensed with N-(tert-butoxycarbonyl)-L-leucine (III) by means of EDC and HOBT yielding the dipeptide (IV). The deprotection of (IV) with HCl and condensation with 1-(tert-butoxycarbonyl)-L-proline pentafluorophenyl ester (V) affords the protected tripeptide (VI), which is finally deprotected with 4N HCl. 2) The deprotection of amide (II) with HCl followed by condensation with N-(benzyloxcarbonyl)-L-prolyl-L-leucine (VII) gives the protected tripeptide (VIII), which is deprotected by hydrogenation with H2 over Pd/C.

Drug Information Express,Drug R&D,Chemical Database,Patent Search.
Copyright © 2006-2026 Drug Future. All rights reserved.Contact Us