【药物名称】GGTI-2151
化学结构式(Chemical Structure):
参考文献No.534872
标题:Potent, highly selective, and non-thiol inhibitors of protein geranylgeranyltransferase-I
作者:Vasudevan, A.; Qian, Y.; Vogt, A.; Blaskovich, M.A.; Ohkanda, J.; Sebti, S.M.; Hamilton, A.D.
来源:J Med Chem 1999,42(8),1333
合成路线图解说明:

Suzuki coupling of methyl 2-bromo-4-nitrobenzoate (I) with 1-naphthylboronic acid (II) provided naphthyl benzoate ester (III). The nitro group of (III) was then reduced by hydrogenation over Pd/C yielding aniline (IV). Diazotization of (IV), followed by reaction with KI gave aryl iodide (V), and subsequent halogen displacement by KCN in the presence of palladium catalyst afforded nitrile (VI). After basic hydrolysis of the methyl ester of (VI), the resulting carboxylic acid (VII) was coupled to L-leucine methyl ester (VIII) using EDC and HOBt to yield amide (IX). Reduction of the nitrile group of (IX) with NaBH4 and CoCl2 gave the corresponding amine, which was isolated as the tert-butyl carbamate (X) upon treatment with Boc2O.

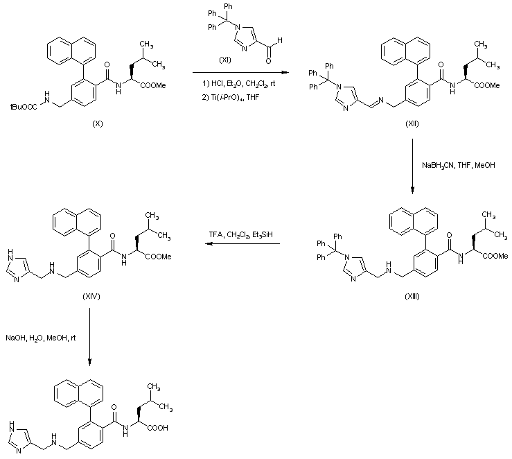
合成路线图解说明:

Further acidic treatment of compund (X) regenerated the amine, which was condensed with the imidazole aldehyde (XI) in the presence of titanium isopropoxide as the water scavenger to give imine (XII). This was reduced to amine (XIII) using NaBH3CN. Finally, the title compound was obtained after acid cleavage of the trityl group of (XXXIII), followed by hydrolysis of the resulting ester (XIV).

Drug Information Express,Drug R&D,Chemical Database,Patent Search.
Copyright © 2006-2026 Drug Future. All rights reserved.Contact Us