【药物名称】Benoxaprofen, Oraflex
化学结构式(Chemical Structure):
参考文献No.47811
标题:Benzoxazole derivatives
作者:Dunwell, D.W.; et al. (Lilly Industries Ltd.)
来源:DE 2324443; ES 414863; FR 2184966; FR 2284592; GB 1435721; JP 49054363; JP 56167645; US 3912748
合成路线图解说明:

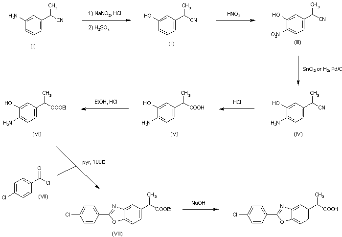
The Sandmeyer reaction of 4-aminophenyl-alpha-methylacetonitrile (I) with NaNO2, HCl and H2SO4 gives 4-hydroxyphenyl-alpha-methylacetonitrile (II), which is nitrated with nitric acid in acetic acid yielding 4-hydroxy-3-nitrophenyl-alpha-methylacetonitrile (III). The reduction of (III) with SnCl2.2H2O and HCl in ethanol, or with H2 over Pd/C in the same solvent affords 4-hydroxy-3-aminophenyl-alpha-methylacetonitrile (IV), which is hydrolyzed with refluxing concentrated HCl to 4-hydroxy-3-aminophenyl-alpha-methylacetic acid (V). The esterification of (V) with ethanol and HCl affords the corresponding ethyl ester (VI), which is cyclized with p-chlorobenzoyl chloride (VII) in pyridine at 100 C yielding ethyl 2-(4-chlorophenyl)-alpha-methyl-5-benzoxazoleacetate (VIII). Finally, this compound is hydrolyzed with NaOH in ethanol.

参考文献No.607983
标题:2-Aryl-5-benzoxazolealkanoic acid derivatives with notable antiinflammatory activity
作者:Dunwell, D.W.; Evans, D.; Hicks, T.A.
来源:J Med Chem 1975,18(1),53
合成路线图解说明:

The Sandmeyer reaction of 4-aminophenyl-alpha-methylacetonitrile (I) with NaNO2, HCl and H2SO4 gives 4-hydroxyphenyl-alpha-methylacetonitrile (II), which is nitrated with nitric acid in acetic acid yielding 4-hydroxy-3-nitrophenyl-alpha-methylacetonitrile (III). The reduction of (III) with SnCl2.2H2O and HCl in ethanol, or with H2 over Pd/C in the same solvent affords 4-hydroxy-3-aminophenyl-alpha-methylacetonitrile (IV), which is hydrolyzed with refluxing concentrated HCl to 4-hydroxy-3-aminophenyl-alpha-methylacetic acid (V). The esterification of (V) with ethanol and HCl affords the corresponding ethyl ester (VI), which is cyclized with p-chlorobenzoyl chloride (VII) in pyridine at 100 C yielding ethyl 2-(4-chlorophenyl)-alpha-methyl-5-benzoxazoleacetate (VIII). Finally, this compound is hydrolyzed with NaOH in ethanol.

参考文献No.800671
标题:Benoxaprofen
作者:Casta馿r, J.; Blancafort, P.
来源:Drugs Fut 1977,2(9),565
合成路线图解说明:

The Sandmeyer reaction of 4-aminophenyl-alpha-methylacetonitrile (I) with NaNO2, HCl and H2SO4 gives 4-hydroxyphenyl-alpha-methylacetonitrile (II), which is nitrated with nitric acid in acetic acid yielding 4-hydroxy-3-nitrophenyl-alpha-methylacetonitrile (III). The reduction of (III) with SnCl2.2H2O and HCl in ethanol, or with H2 over Pd/C in the same solvent affords 4-hydroxy-3-aminophenyl-alpha-methylacetonitrile (IV), which is hydrolyzed with refluxing concentrated HCl to 4-hydroxy-3-aminophenyl-alpha-methylacetic acid (V). The esterification of (V) with ethanol and HCl affords the corresponding ethyl ester (VI), which is cyclized with p-chlorobenzoyl chloride (VII) in pyridine at 100 C yielding ethyl 2-(4-chlorophenyl)-alpha-methyl-5-benzoxazoleacetate (VIII). Finally, this compound is hydrolyzed with NaOH in ethanol.

Drug Information Express,Drug R&D,Chemical Database,Patent Search.
Copyright © 2006-2026 Drug Future. All rights reserved.Contact Us