【药物名称】(+)-Fluprostenol isopropyl ester, Travoprost, AL-6221, Travatan
化学结构式(Chemical Structure):
参考文献No.26335
标题:Use of cloprostenol, fluprostenol and their analogues for the manufacture of a medicament for the treatment of glaucoma and ocular hypertension
作者:Klimko, P.G.; Bishop, J.A.; DeSantis, L. Jr.; Sallee, V.L. (Alcon Laboratories, Inc.)
来源:EP 0639563; JP 1995165703; JP 1998182465; US 5665773
合成路线图解说明:

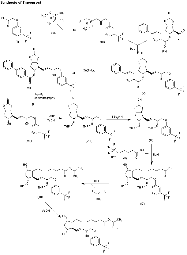
The condensation of 2-[3-(trifluoromethyl)phenoxy]acetyl chloride (I) with methylphosphonic acid dimethyl ester (II) by means of BuLi in THF gives 2-oxo-3-[3-(trifluoromethyl)phenoxy]propylphosphonic acid dimethyl ester (III), which is condensed with the known bicyclic aldehyde (IV) by means of BuLi in dimethoxyethane, yielding the unsaturated ketone (V). The reduction of (V) with zinc borohydride in dimethoxyethane affords the unsaturated alcohol (VI), which is treated with K2CO3 to give a diastereomeric mixture of unsaturated diols, resolved by chromatography to yield the chiral unsaturated diol (VII). The protection of (VII) with dihydropyran and TsOH in dichloromethane provides the bis(tetrahydropyranyl) ether (VIII), which by reduction of the lactone ring with diisobutylaluminum hydride in THF gives the lactol (IX). The condensation of (IX) with the phosphonium bromide (X) by means of NaH in DMSO yields the prostenoic acid (XI), which is esterified with isopropyl iodide and 1,8-diazabicyclo[5.4.0]undec-7-ene (DBU) in acetone to afford the corresponding isopropyl ester (XII). Finally, this compound is deprotected with acetic acid in hot THF/water.

参考文献No.41914
标题:Method of inducing luteolysis using 16-aryloxy-17,18,19,20-tetranor-prostanoic acid derivs
作者:Bowler, J.; Crossley, N.S. (AstraZeneca plc)
来源:US 4321275
合成路线图解说明:

The condensation of 2-[3-(trifluoromethyl)phenoxy]acetyl chloride (I) with methylphosphonic acid dimethyl ester (II) by means of BuLi in THF gives 2-oxo-3-[3-(trifluoromethyl)phenoxy]propylphosphonic acid dimethyl ester (III), which is condensed with the known bicyclic aldehyde (IV) by means of BuLi in dimethoxyethane, yielding the unsaturated ketone (V). The reduction of (V) with zinc borohydride in dimethoxyethane affords the unsaturated alcohol (VI), which is treated with K2CO3 to give a diastereomeric mixture of unsaturated diols, resolved by chromatography to yield the chiral unsaturated diol (VII). The protection of (VII) with dihydropyran and TsOH in dichloromethane provides the bis(tetrahydropyranyl) ether (VIII), which by reduction of the lactone ring with diisobutylaluminum hydride in THF gives the lactol (IX). The condensation of (IX) with the phosphonium bromide (X) by means of NaH in DMSO yields the prostenoic acid (XI), which is esterified with isopropyl iodide and 1,8-diazabicyclo[5.4.0]undec-7-ene (DBU) in acetone to afford the corresponding isopropyl ester (XII). Finally, this compound is deprotected with acetic acid in hot THF/water.

参考文献No.564164
标题:Travoprost
作者:Casta馿r, J.; Sorbera, L.A.
来源:Drugs Fut 2000,25(1),41
合成路线图解说明:

The condensation of 2-[3-(trifluoromethyl)phenoxy]acetyl chloride (I) with methylphosphonic acid dimethyl ester (II) by means of BuLi in THF gives 2-oxo-3-[3-(trifluoromethyl)phenoxy]propylphosphonic acid dimethyl ester (III), which is condensed with the known bicyclic aldehyde (IV) by means of BuLi in dimethoxyethane, yielding the unsaturated ketone (V). The reduction of (V) with zinc borohydride in dimethoxyethane affords the unsaturated alcohol (VI), which is treated with K2CO3 to give a diastereomeric mixture of unsaturated diols, resolved by chromatography to yield the chiral unsaturated diol (VII). The protection of (VII) with dihydropyran and TsOH in dichloromethane provides the bis(tetrahydropyranyl) ether (VIII), which by reduction of the lactone ring with diisobutylaluminum hydride in THF gives the lactol (IX). The condensation of (IX) with the phosphonium bromide (X) by means of NaH in DMSO yields the prostenoic acid (XI), which is esterified with isopropyl iodide and 1,8-diazabicyclo[5.4.0]undec-7-ene (DBU) in acetone to afford the corresponding isopropyl ester (XII). Finally, this compound is deprotected with acetic acid in hot THF/water.

参考文献No.611402
标题:Synthesis of [phenyl-2-H-3]-travoprost: Isopropyl ester prodrug of a selective prostaglandin FP receptor agonist
作者:Selliah, R.; et al.
来源:J Label Compd Radiopharm 2001,44(3),173
合成路线图解说明:

The alkylation of 2-iodo-5-(trifluoromethyl)phenol (I) with ethyl 2-bromoacetate (II) and K2CO3 in acetone gives the phenyl ether (III), which is condensed with the phosphonate (IV) by means of BuLi in THF to yield the ketophosphonate (V). The condensation of the Corey aldehyde (VI) with phosphonate (V) by means of ClLi and TEA in THF affords the ketonic intermediate (VII), which is reduced with (-)-chlorodiisopinocampheylborane [(-)-DIPCl] in THF to produce C-15 hydroxy epimer predominantly with the desired stereochemistry (VIII).The hydrolysis of the benzoate group of (VIII) with K2CO3 in methanol gives the dihydroxylactone (IX), which is protected with DHP and Ts-OH in dichloromethane to yield the bis-tetrahydropyranyl ether (X). The lactone group of (X) is reduced with DIBAL in THF to yield the lactol (XI), which is submitted to a Wittig condensation with 4-carboxybutyltriphenylphosphonium bromide (XII) by means of tBu-OK in THF to afford the carboxylic acid (XIII). The esterification of (XIII) with isopropyl iodide and DBU in acetone affords the isopropyl ester (XIV), which is deprotected (elimination of the THP protecting groups) with HCl in methanol/water and purified by chromatography (elimination of the unwanted C15-epimer) to afford the precursor (XV). Finally the iodine atom of (XV) is eliminated by hydrogenation with hydrogen over Pd/C in ethyl acetate.

合成路线图解说明:

The alkylation of 2-iodo-5-(trifluoromethyl)phenol (I) with ethyl 2-bromoacetate (II) and K2CO3 in acetone gives the phenyl ether (III), which is condensed with the phosphonate (IV) by means of BuLi in THF to yield the ketophosphonate (V). The condensation of the Corey aldehyde (VI) with phosphonate (V) by means of ClLi and TEA in THF affords the ketonic intermediate (VII), which is reduced with (-)-chlorodiisopinocampheylborane [(-)-DIPCl] in THF to produce C-15 hydroxy epimer (VIII) predominantly with the desired stereochemistry. The hydrolysis of the benzoate group of (VIII) with K2CO3 in methanol gives the dihydroxylactone (IX), which is protected with DHP and Ts-OH in dichloromethane to yield the bis-tetrahydropyranyl ether (X). The lactone group of (X) is reduced with DIBAL in THF to yield the lactol (XI), which is submitted to a Wittig condensation with 4-carboxybutyltriphenylphosphonium bromide (XII) by means of tBu-OK in THF to afford the carboxylic acid (XIII). The esterification of (XIII) with isopropyl iodide and DBU in acetone affords the isopropyl ester (XIV), which is deprotected (elimination of the THP protecting groups) with HCl in methanol/water and purified by chromatography (elimination of the unwanted C15-epimer) to afford the precursor (XV). Finally the iodine atom of (XV) is substituted with tritium by hydrogenation with tritium gas over Pd/C in ethyl acetate.

参考文献No.671792
标题:Synthesis of the potent antiglaucoma agent, travoprost
作者:Boulton, L.T.; Brick, D.; Fox, M.E.; et al.
来源:Org Process Res Dev 2002,6(2),138
合成路线图解说明:

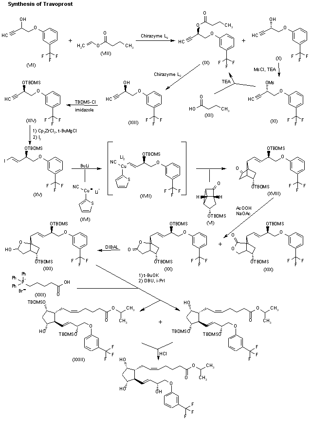
Synthesis of the tricyclic ketone intermediate (VI): Optical resolution of racemic bicyclo[3.2.0]hept-2-en-6-one (I) by reaction with SO2 and (+)-a-methylbenzylamine (II) yields a mixture of diastereomeric salts of the a-hydroxysulfonic acid with the chiral amine (II), which are separated by crystallization. Treatment of the purified salt (III) with aqueous Na2CO3 results in the pure enantiomer (?-(I). Reaction of (?-(I) with 1,3-dibromo-5,5-dimethylhydantoin (DBDMH) in acetone/water affords the bromohydrin (IV), which is treated with TBDMS-Cl and imidazole to provide the silyl ether (V). Finally, reaction of the protected bromohydrin (V) with potassium tert-butoxide in toluene gives the target tricyclic ketone intermediate (VI).

合成路线图解说明:

Synthesis of the alkenyl cuprate (XVII): Enzymatic acylation of the racemic acetylenic alcohol (VII) with vinyl butyrate (VIII) by means of Chirazyme L9 gives a mixture of the ester (R)-(IX) and the alcohol (S)-(X). Reaction of this mixture with Ms-Cl and TEA yields a mixture of ester (R)-(IX) and the mesylate (S)-(XI). Treatment of this mixture with butyric acid and TEA results in the acylation of mesylate (S)-(XI) with optical inversion, providing pure ester (R)-(IX). Enzymatic hydrolysis of (R)-(IX) with Chirazyme L2 affords the enantiomerically pure alcohol (R)-(XIII). Silylation of alcohol (XIII) with TBDMS-Cl and imidazole gives the silyl ether (XIV), which is iodinated with Cp2ZrCl2 and I2 to yield the iodovinyl derivative (XV). Finally, the reaction of compound (XV) with the lithium cuprate (XVI) 璸repared by lithiation of thiophene with BuLi followed by treatment with copper (I) cyanide?affords the alkenyl cuprate (XVII). Condensation of the alkenyl cuprate (XVII) with the tricyclic ketone (VI) in toluene provides the bicyclic ketone (XVIII), which is submitted to a Baeyer-Villiger oxidation with peracetic acid to give a mixture of the regioisomeric lactones (XIX) and (XX). The minor and unwanted regioisomer (XIX) is selectively hydrolyzed by treatment with aqueous Na2CO3 and separated by crystallization. Reduction of lactone (XX) with DIBAL in toluene gives lactol (XXI), which is submitted to a Wittig condensation with (4-carboxybutyl)triphenylphosphonium bromide and t-BuOK in THF, followed by esterification with isopropyl iodide and DBU, yielding a mixture of the monosilylated compounds (XXIII) and (XXIV) due to migration of the silyl group on the cyclopentane ring. Finally, this mixture is deprotected with HCl in isopropanol.

Drug Information Express,Drug R&D,Chemical Database,Patent Search.
Copyright © 2006-2026 Drug Future. All rights reserved.Contact Us