【药物名称】AR-H040922, H-409/22
化学结构式(Chemical Structure):
参考文献No.38904
标题:New NPY antagonists
作者:Pilling, G.; Bergman, N.-A.; D'Ambra, T. (AstraZeneca plc)
来源:EP 1017672; WO 9915498
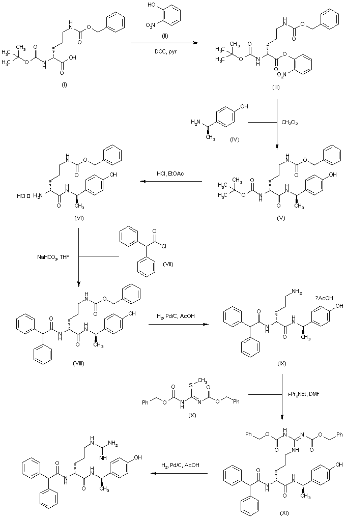
合成路线图解说明:

The protected (R)-ornithine (I) was converted to the active ester (III) upon coupling with 2-nitrophenol (II) in the presence of DCC and pyridine. Subsequent reaction of the nitrophenyl ester (III) with (R)-4-hydroxy-alpha-methylbenzylamine (IV) produced the corresponding amide (V). After acid cleavage of the Boc protecting group of (V), the resulting amine (VI) was acylated with diphenylacetyl chloride (VII) to give (VIII). Removal of the N-benzyloxycarbonyl group of (VIII) was achieved by catalytic hydrogenation over Pd/C. The resultant amine (IX) was then converted to the protected guanidine (XI) by reaction with N,N'-bis(benzyloxycarbonyl)-S-methylisothiourea (X). The protecting groups of (X) were finally removed by hydrogenation over Pd/C.

Drug Information Express,Drug R&D,Chemical Database,Patent Search.
Copyright © 2006-2026 Drug Future. All rights reserved.Contact Us