| 参考文献No. | 533699 |
| 标题: | New photoaffinity analogs of paclitaxel |
| 作者: | Ojima, I.; Bounaud, P.-Y.; Ahern, D.G. |
| 来源: | Bioorg Med Chem Lett 1999,9(8),1189 |
 |
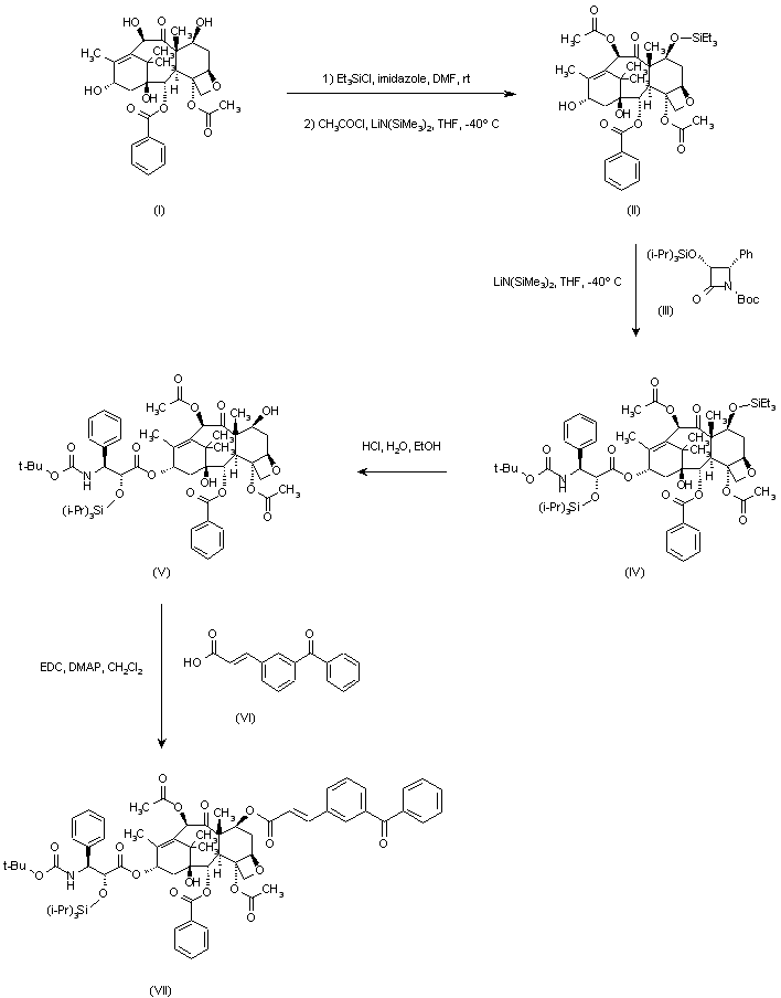
| 合成路线图解说明: Selective protection of the 7-hydroxyl group of deacetylbaccatin (I) with triethylsilyl chloride provided silyl ether (II), which was acetylated at position 10 using acetyl chloride and lithium hexamethyldisilazide. Further coupling of (II) with beta-lactam (III) gave (IV), which by selective removal of the 7-silyl group with 0.1 N HCl gave 10-acetyl-2'-(triisopropylsilyl)docetaxel (V). This was condensed with benzoylcinnamic acid (VI) employing EDC and DMAP to afford ester (VII). |
 |
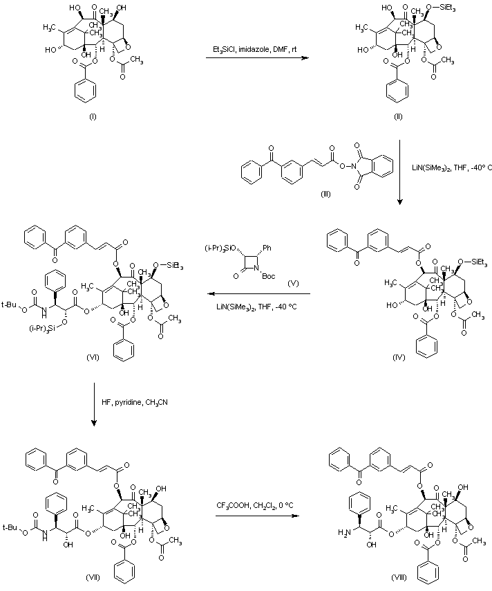
| 合成路线图解说明: The triisopropylsilyl group at position 2' of (VII) was deprotected with HF in pyridine-acetonitrile yielding (VIII), and the Boc group was further removed with trifluoroacetic acid to give (IX). Then, benzoylation of the 3'-amino group of (IX) with benzoyl chloride provided benzamide (X). Finally, hydrogenation of the cinnamyl double bond of (X) in the presence of Wilkinson's catalyst furnished the target compound. |
 |
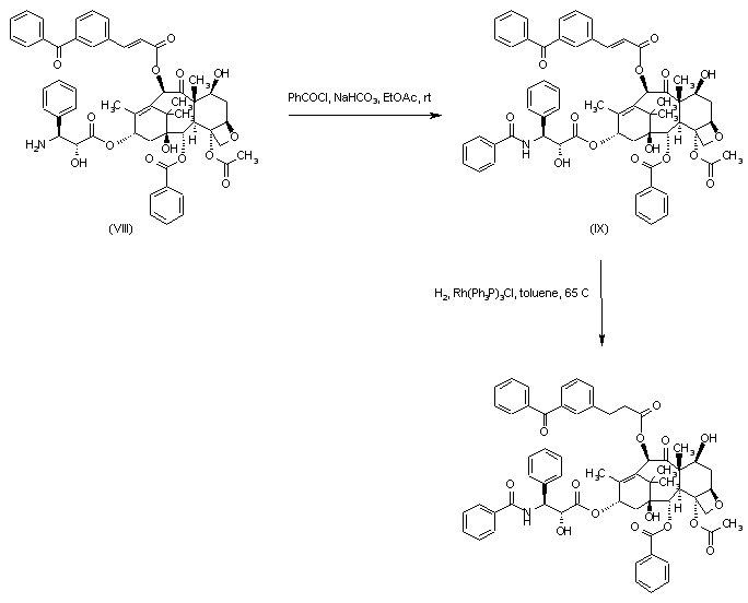
| 合成路线图解说明: Selective protection of the 7-hydroxyl group of deacetylbaccatin (I) with triethylsilyl chloride provided silyl ether (II), which was acylated at position 10 with the activated ester (III) in the presence of lithium hexamethyldisilazide to give the benzoylcinnamic ester (IV). Further coupling of (IV) with beta-lactam (V) gave (VI), which by removal of the silyl groups with HF in pyridine-acetonitrile afforded (VII). The Boc group of (VII) was then removed with trifluoroacetic acid to give amine (VIII). |
 |
| 合成路线图解说明: The Boc group of (VII) was then removed with trifluoroacetic acid to give amine (VIII). Then, benzoylation of the amino group of (VIII) provided benzamide (IX). Finally, hydrogenation of the cinnamyl double bond of (IX) in the presence of Wilkinson's catalyst furnished the target compound. |