【药物名称】
化学结构式(Chemical Structure):
参考文献No.533698
标题:Thiazolo[4,5-d]pyrimidine thiones and -ones as corticotropin-releasing hormone (CRH-R1) receptor antagonists
作者:Beck, J.P.; Curry, M.A.; Chorvat, R.J.; Fitzgerald, L.W.; Gilligan, P.J.; Zaczek, R.; Trainor, G.L.
来源:Bioorg Med Chem Lett 1999,9(8),1185
合成路线图解说明:

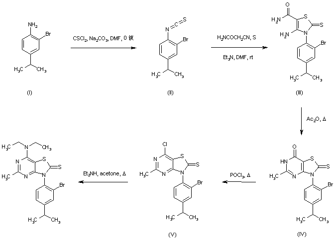
Aniline (I) was converted to the isothiocyanate (II) using thiophosgene in DMF, and then treated with cyanoacetamide and sulfur to afford thiazolothione (III). Subsequent reaction of (III) with acetic anhydride generated the pyrimidine (IV), which was chlorinated with refluxing POCl3 to give (V). Finally, condensation of (V) with diethylamine in boiling acetone furnished the target compound.

Drug Information Express,Drug R&D,Chemical Database,Patent Search.
Copyright © 2006-2026 Drug Future. All rights reserved.Contact Us