【药物名称】
化学结构式(Chemical Structure):
参考文献No.29317
标题:Substd. thiazoles for the treatment of inflammation
作者:Talley, J.J.; Carter, J.S.; Collins, P.W.; Kramer, S.W.; Penning, T.D.; Rogier, D.J. Jr.; Rogers, R.S. (Pharmacia Corp.)
来源:EP 0772606; JP 1998504542; US 5668161; WO 9603392
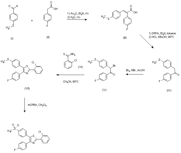
合成路线图解说明:

The condensation of 4-(methylsulfanyl)benzaldehyde (I) with 4-fluorophenylacetic acid (II) in refluxing acetic anhydride containing one equivalent of triethylamine, followed by aqueous hydrolysis, provided the diarylpropenoic acid (III). Curtius rearrangement of acid (III) by treatment with diphenylphosphoryl azide in cold toluene, and subsequent hydrolysis of the intermediate isocyanate afforded diarylethanone (IV), which was then brominated in a solution of HBr in acetic acid to give bromoketone (V). The cyclization of this bromoketone with 2-chlorothiobenzamide (VI) in refluxing acetonitrile gave rise to thiazole (VII), and then, oxidation with meta-chloroperbenzoic acid in dichloromethane provided the target sulfone.

合成路线图解说明:

Treatment of benzoin (I) with methanesulfonyl chloride and LiCl, followed by condensation with thioacetamide afforded 2-methyl-3,4-diphenylthiazole (II). Subsequent selective chlorosulfonation at the most reactive 5-phenyl group of (II) provided sulfonyl chloride (III). This was finally converted to the target sulfonamide upon treatment with ammonium hydroxide.

参考文献No.533697
标题:Synthesis and activity of sulfonamide-substituted 4,5-diaryl thiazoles as selective cyclooxygenase-2 inhibitors
作者:Carter, J.S.; Kramer, S.; Talley, J.J.; Penning, T.; Collins, P.; Graneto, M.J.; Seibert, K.; Koboldt, C.M.; Masferrer, J.; Zweifel, B.
来源:Bioorg Med Chem Lett 1999,9(8),1171
合成路线图解说明:

Treatment of benzoin (I) with methanesulfonyl chloride and LiCl, followed by condensation with thioacetamide afforded 2-methyl-3,4-diphenylthiazole (II). Subsequent selective chlorosulfonation at the most reactive 5-phenyl group of (II) provided sulfonyl chloride (III). This was finally converted to the target sulfonamide upon treatment with ammonium hydroxide.

Drug Information Express,Drug R&D,Chemical Database,Patent Search.
Copyright © 2006-2026 Drug Future. All rights reserved.Contact Us