【药物名称】
化学结构式(Chemical Structure):
参考文献No.533687
标题:Synthesis and cytotoxic activities of 6-chloro-7-arylamino-5,8-isoquinolinediones
作者:Ryu, C.K.; Lee, I.K.; Jung, S.H.; Lee, C.O.
来源:Bioorg Med Chem Lett 1999,9(8),1075
合成路线图解说明:

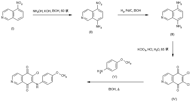
Treatment of 5-nitroisoquinoline (I) with hydroxylamine and KOH produced 5-nitro-8-aminoisoquinoline (II). Subsequent hydrogenation of (II) over Pd/C gave diamine (III), which was then oxidized to the dichloroquinone (IV) by means potassium chlorate and concentrated HCl. Finally, displacement of the 7-chloro atom of (IV) with p-anisidine (V) in refluxing EtOH yielded the title compound.

参考文献No.588453
标题:7-(Substituted-phenyl)amino-5,8-isoquinolinediones: Synthesis and cytotoxic activities on cancer cell lines
作者:Ryu, C.-K.; Jung, S.-H.; Lee, I.-K.; et al.
来源:Med Chem Res 2000,10(1),40
合成路线图解说明:

Treatment of 5-nitroisoquinoline (I) with hydroxylamine and KOH produced 5-nitro-8-aminoisoquinoline (II). Subsequent hydrogenation of (II) over Pd/C gave diamine (III), which was then oxidized to the dichloroquinone (IV) by means potassium chlorate and concentrated HCl. Finally, displacement of the 7-chloro atom of (IV) with p-anisidine (V) in refluxing EtOH yielded the title compound.

Drug Information Express,Drug R&D,Chemical Database,Patent Search.
Copyright © 2006-2026 Drug Future. All rights reserved.Contact Us