【药物名称】
化学结构式(Chemical Structure):
参考文献No.37725
标题:Inhibitors of protein isoprenyl transferases
作者:Donner, B.G.; Janowick, D.A.; Larsen, J.J.; Rosenberg, S.H.; Hamilton, A.D.; Barr, K.J.; Sorensen, B.K.; Augeri, D.J.; Kalvin, D.M.; O'Connor, S.J.; Fakhoury, S.A.; Swenson, R.E.; Liu, G.; Sebti, S.M.; Shen, W. (University of Pittsburgh)
来源:EP 0986384; WO 9850029; WO 9850030; WO 9850031
合成路线图解说明:

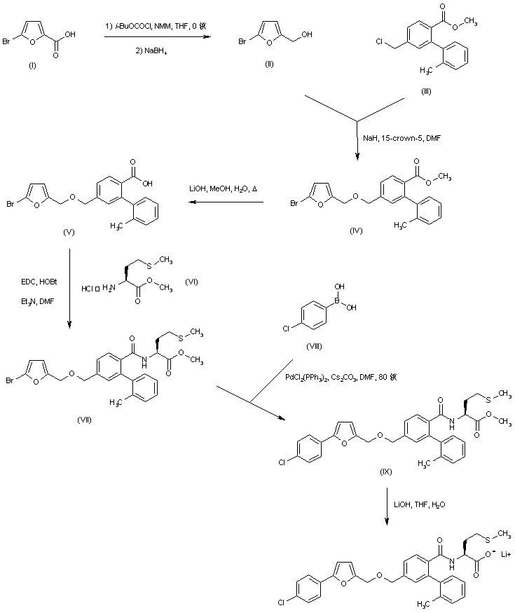
5-Bromo-2-furoic acid (I) was converted to the mixed anhydride with isobutyl chloroformate and then reduced to alcohol (II) using NaBH4. After formation of the sodium alkoxide of (II) with NaH, condensation with chloride (III) in the presence of 15-crown-5 provided ether (IV). Hydrolysis of the methyl ester of (IV), followed by coupling of the resulting carboxylic acid (V) with L-methionine methyl ester (VI) gave amide (VII). Further Suzuki coupling of (VII) with 4-chlorophenyl boronic acid (VIII) produced the aryl-substituted furan (IX). Finally, hydrolysis of the methionine methyl ester of (IX) with LiOH, followed by lyophilization furnished the corresponding lithium carboxylate salt.

合成路线图解说明:

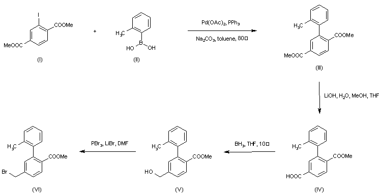
Palladium-catalyzed coupling of dimethyl iodoterephthalate (I) with 2-methylphenylboronic acid (II) afforded biphenyl (III). Hydrolysis of (III) with LiOH yielded mono acid (IV), which was reduced to alcohol (V) using borane in cold THF. Subsequent reaction of (V) with PBr3 furnished the intermediate bromide (VI).

合成路线图解说明:

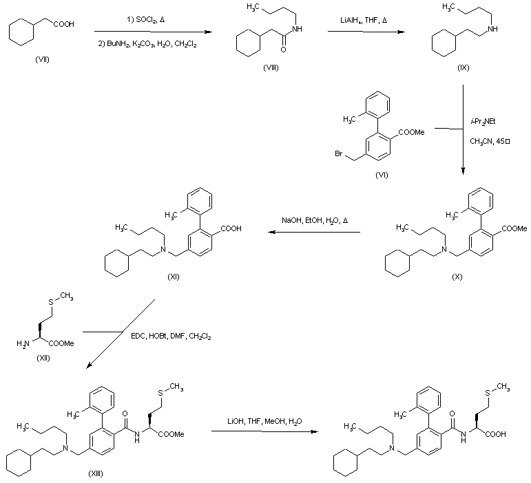
Cyclohexylacetic acid (VII) was converted to acid chloride and then condensed with n-butyl amine to give amide (VIII). Reduction of (VIII) with LiAlH4 afforded secondary amine (IX), which was alkylated with bromide (VI) yielding amino ester (X). After basic hydrolysis of the ester group of (X), the resultant carboxylic acid (XI) was coupled with L-methionine methyl ester (XII) to produce amide (XIII). The methyl ester group of (XIII) was finally hydrolyzed by treatment with LiOH.

参考文献No.533686
标题:Potent and orally bioavailable noncysteine-containing inhibitors of protein farnesyltransferase
作者:Augeri, D.J.; Janowick, D.; Kalvin, D.; Sullivan, G.; Larsen, J.; Dickman, D.; Ding, H.; Cohen, J.; Lee, J.; Warner, R.; Kovar, P.; Cherian, S.; Saeed, B.; Zhang, H.; Tahir, S.; Ng, S.C.; Sham, H.; Rosenberg, S.H.
来源:Bioorg Med Chem Lett 1999,9(8),1069
合成路线图解说明:

5-Bromo-2-furoic acid (I) was converted to the mixed anhydride with isobutyl chloroformate and then reduced to alcohol (II) using NaBH4. After formation of the sodium alkoxide of (II) with NaH, condensation with chloride (III) in the presence of 15-crown-5 provided ether (IV). Hydrolysis of the methyl ester of (IV), followed by coupling of the resulting carboxylic acid (V) with L-methionine methyl ester (VI) gave amide (VII). Further Suzuki coupling of (VII) with 4-chlorophenyl boronic acid (VIII) produced the aryl-substituted furan (IX). Finally, hydrolysis of the methionine methyl ester of (IX) with LiOH, followed by lyophilization furnished the corresponding lithium carboxylate salt.

Drug Information Express,Drug R&D,Chemical Database,Patent Search.
Copyright © 2006-2026 Drug Future. All rights reserved.Contact Us