【药物名称】
化学结构式(Chemical Structure):
参考文献No.533879
标题:Efficacy of new 5-nitroimidazoles against metronidazole-susceptible and -resistant Giardia, Trichomonas, and Entamoeba spp
作者:Upcroft, P.; Campbell, R.W.; Benakli, K.; Upcroft, J.A.; Vanelle, P.
来源:Antimicrob Agents Chemother 1999,43(1),73
合成路线图解说明:

Title compound was prepared by reacting 1-methyl-2-chloromethyl-5-nitroimidazole (I) with 1-methyl-3-nitro-2-pyrrolidinone anion (II) under phase-transfer catalysis.

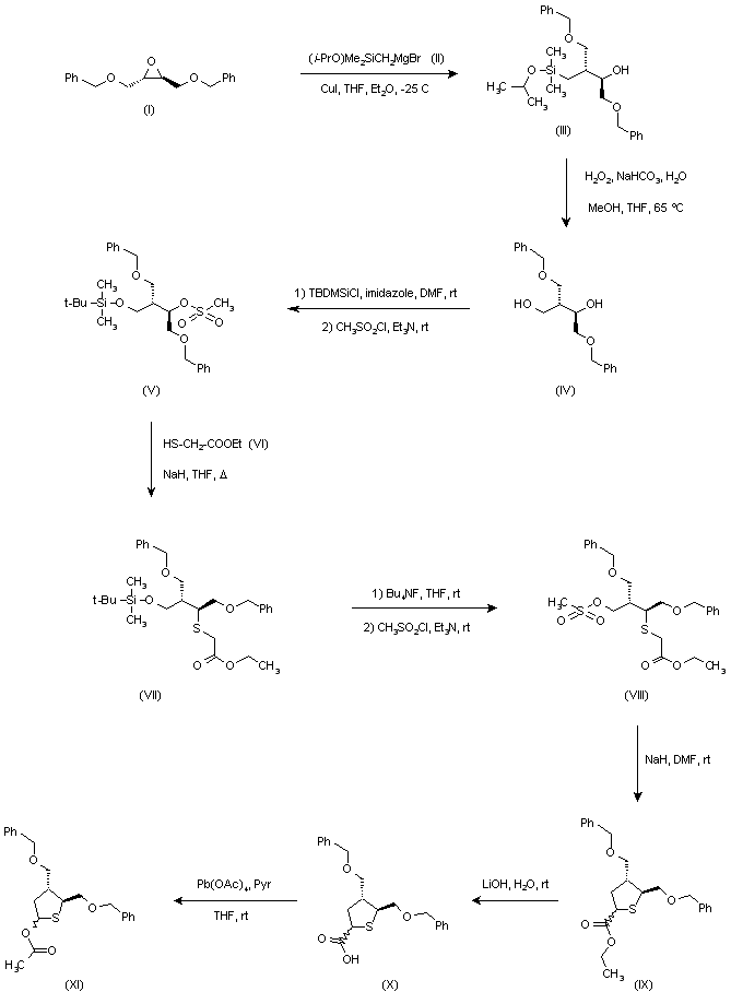
合成路线图解说明:

Opening of the (S,S)-epoxide (I) with the silylmethyl Grignard reagent (II) in the presence of CuI, followed by oxidative cleavage of the silyl alcohol (III) with H2O2 gave diol (IV). Then, selective protection of the primary hydroxyl group of (IV) with tert-butyldimethylsilyl chloride, followed by condensation with methanesulfonyl chloride, afforded mesylate (V). Subsequent alkylation of the sodium salt of ethyl mercaptoacetate (VI) gave thioether (VII). Desilylation of (VII) with tetrabutylammonium fluoride, followed by mesylation provided sulfonate (VIII). Subsequent intramolecular ring closure of (VIII) using NaH in DMF produced the tetrahydrothiophene (IX) as a 2:3 mixture of stereoisomers. Hydrolysis of the ethyl ester of (IX) with LiOH gave carboxylic acid (X), which was submitted to a modified Hunsdiecker reaction with Pb(OAc)4 to furnish the 1-O-acetate (XI) as a 1:1 anomeric mixture.

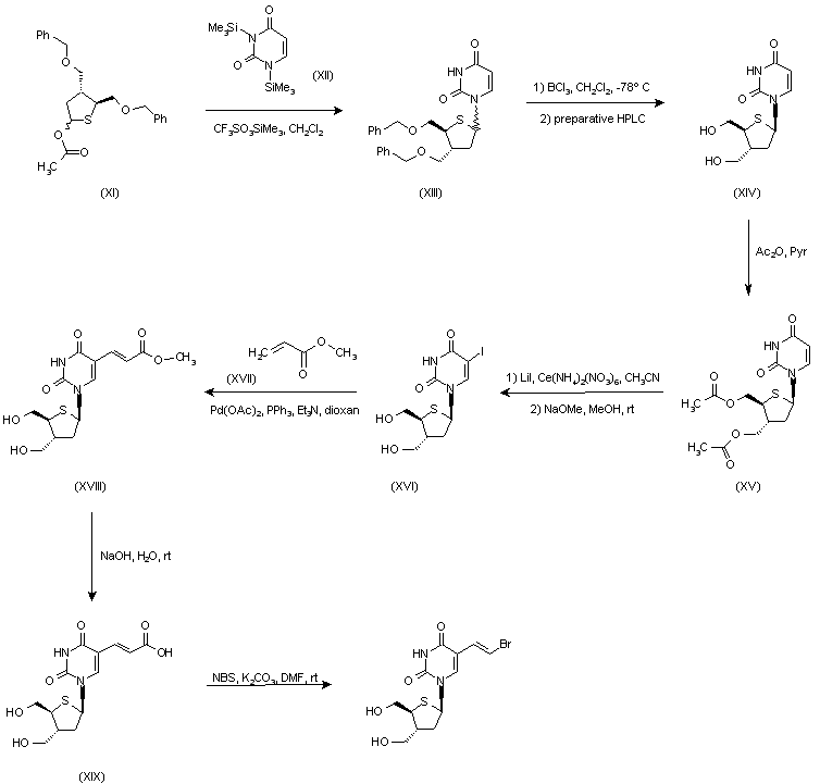
合成路线图解说明:

Acetate (XI) was coupled with the bis-silylated uracil (XII) in the presence of trimethylsilyl triflate to give the 1:1 mixture of glycosylated products (XIII). The benzyl protecting groups of (XIII) were removed with BCl3, and the resulting mixture of diols was separated by preparative RP-HPLC. The desired isomer (XIV) was acetylated with Ac2O to give the diacetate ester (XV). After iodination of (XV) using LiI and ammonium cerium nitrate, the acetate groups were removed by treatment with methanolic NaOMe to afford 5-iodouracil (XVI). Subsequent Heck reaction of (XVI) with methyl acrylate (XVII) in the presence of Pd(OAc)2 and PPh3 produced ester (XVIII) together with some deiodinated product. Hydrolysis of the ester function of (XVIII) gave carboxylic acid (XIX), which was finally treated with N-bromosuccinimide and K2CO3 in DMF to yield the target bromovinyl compound.

Drug Information Express,Drug R&D,Chemical Database,Patent Search.
Copyright © 2006-2026 Drug Future. All rights reserved.Contact Us