【药物名称】Ragaglitazar, DRF-2725, NNC-61-0029, (-)-DRF-2725, NN-622
化学结构式(Chemical Structure):
参考文献No.39057
标题:Novel tricyclic cpds. and their use in medicine; process for their preparation and pharmaceutical compsns. containing them
作者:Kalchar, S.; Lohray, V.B.; Lohray, B.B.; Chakrabarti, R.; Bajji, A.C.; Ramanujam, R. (Dr. Reddy's Research Foundation)
来源:EP 1049684; JP 2001519422; WO 9919313
合成路线图解说明:

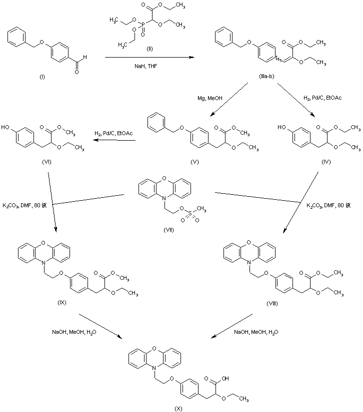
Several related procedures have been described for the synthesis of the title compound. The Horner-Emmons reaction of 4-benzyloxybenzaldehyde (I) with triethyl 2-ethoxyphosphonoacetate (II) afforded the unsaturated ester (IIIa-b) as a mixture of E/Z isomers. Simultaneous double-bond hydrogenation and benzyl group hydrogenolysis in the presence of Pd/C furnished phenol (IV). Alternatively, double-bond reduction by means of magnesium in MeOH was accompanied by transesterification, yielding the saturated methyl ester (V). Further benzyl group hydrogenolysis of (V) over Pd/C gave phenol (VI). The alkylation of phenols (IV) and (VI) with the phenoxazinylethyl mesylate (VII) provided the corresponding ethers (VIII) and (IX), respectively. The racemic carboxylic acid (X) was then obtained by hydrolysis of either ethyl- (VIII) or methyl- (IX) esters under basic conditions.

合成路线图解说明:

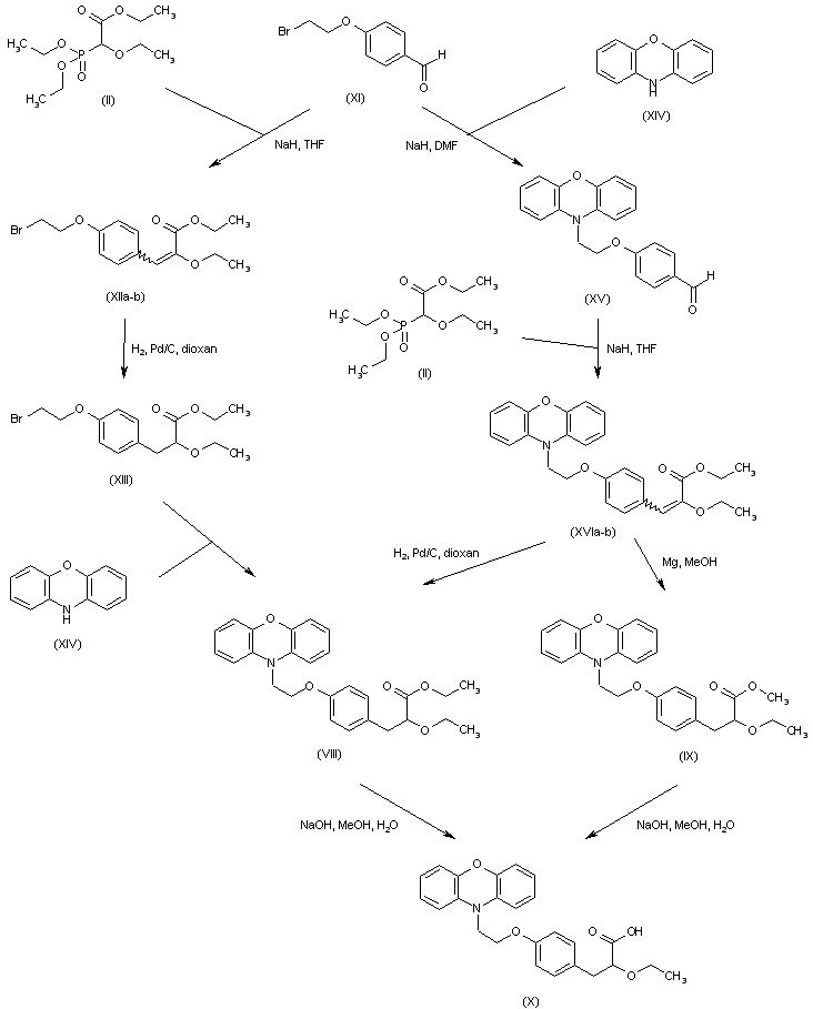
In a related method, 4-(2-bromoethoxy)benzaldehyde (XI) was subjected to a Horner-Emmons reaction with phosphonate (II) to produce the unsaturated ester (XIIa-b), which was further hydrogenated to afford (XIII). Alkylation of phenoxazine (XIV) with bromide (XIII) gave adduct (VIII) (1,2). In a different reaction sequence, bromoaldehyde (XI) was initially condensed with phenoxazine (XIV), producing adduct (XV). This was subjected to Horner-Emmons condensation with (II) to give the unsaturated ester (XVIa-b), which was then hydrogenated to (VIII). Alternatively, double-bond reduction of (XVI) by means of Mg in MeOH gave rise to the transesterified methyl ester (IX). Ester hydrolysis as above provided acid (X).

合成路线图解说明:

Resolution of the racemic acid (X) was carried out via activation as the mixed anhydride (XVIII) upon treatment with pivaloyl chloride (XVII) and triethylamine. Anhydride (XVIII) was then condensed with (S)-2-phenylglycinol (XIX), producing a separable mixture of diastereomeric amides. Isolation of the desired (S,S)-isomer (XX) by silica gel chromatography, followed by amide hydrolysis under acidic conditions, furnished the target (S)-enantiomer.

参考文献No.44775
标题:Novel tricyclic cpds. and their use in medicine; process for their preparation and pharmaceutical compsn. containing them
作者:Rajagopalan, R.; Ashok, C.B.; Shivaramayya, K.; Gurram, R.M.; Lohray, B.B.; Paraselli, B.R.; Rajan, C.; Lohray, V.B. (Dr. Reddy's Research Foundation)
来源:EP 1155006; WO 0050414
合成路线图解说明:

Several related procedures have been described for the synthesis of the title compound. The Horner-Emmons reaction of 4-benzyloxybenzaldehyde (I) with triethyl 2-ethoxyphosphonoacetate (II) afforded the unsaturated ester (IIIa-b) as a mixture of E/Z isomers. Simultaneous double-bond hydrogenation and benzyl group hydrogenolysis in the presence of Pd/C furnished phenol (IV). Alternatively, double-bond reduction by means of magnesium in MeOH was accompanied by transesterification, yielding the saturated methyl ester (V). Further benzyl group hydrogenolysis of (V) over Pd/C gave phenol (VI). The alkylation of phenols (IV) and (VI) with the phenoxazinylethyl mesylate (VII) provided the corresponding ethers (VIII) and (IX), respectively. The racemic carboxylic acid (X) was then obtained by hydrolysis of either ethyl- (VIII) or methyl- (IX) esters under basic conditions.

合成路线图解说明:

In a related method, 4-(2-bromoethoxy)benzaldehyde (XI) was subjected to a Horner-Emmons reaction with phosphonate (II) to produce the unsaturated ester (XIIa-b), which was further hydrogenated to afford (XIII). Alkylation of phenoxazine (XIV) with bromide (XIII) gave adduct (VIII) (1,2). In a different reaction sequence, bromoaldehyde (XI) was initially condensed with phenoxazine (XIV), producing adduct (XV). This was subjected to Horner-Emmons condensation with (II) to give the unsaturated ester (XVIa-b), which was then hydrogenated to (VIII). Alternatively, double-bond reduction of (XVI) by means of Mg in MeOH gave rise to the transesterified methyl ester (IX). Ester hydrolysis as above provided acid (X).

合成路线图解说明:

Resolution of the racemic acid (X) was carried out via activation as the mixed anhydride (XVIII) upon treatment with pivaloyl chloride (XVII) and triethylamine. Anhydride (XVIII) was then condensed with (S)-2-phenylglycinol (XIX), producing a separable mixture of diastereomeric amides. Isolation of the desired (S,S)-isomer (XX) by silica gel chromatography, followed by amide hydrolysis under acidic conditions, furnished the target (S)-enantiomer.

参考文献No.627504
标题:(-)-3-[4-[2-(Phenoxazin-10-yl)ethoxy]phenyl]-2-ethoxypropanoic acid[(-)DRF 2725]: A dual PPAR agonist with potent antihyperglycemic and lipid modulating activity
作者:Lohray, B.B.; Lohray, V.B.; Bajji, A.C.; Kalchar, S.; Poondra, R.R.; Padakanti, S.; Chakrabarti, R.; Vikramadithyan, R.K.; Misra, P.; Juluri, S.; Mamidi, N.V.; Rajagopalan, R.
来源:J Med Chem 2001,44(16),2675
合成路线图解说明:

In a related method, 4-(2-bromoethoxy)benzaldehyde (XI) was subjected to a Horner-Emmons reaction with phosphonate (II) to produce the unsaturated ester (XIIa-b), which was further hydrogenated to afford (XIII). Alkylation of phenoxazine (XIV) with bromide (XIII) gave adduct (VIII) (1,2). In a different reaction sequence, bromoaldehyde (XI) was initially condensed with phenoxazine (XIV), producing adduct (XV). This was subjected to Horner-Emmons condensation with (II) to give the unsaturated ester (XVIa-b), which was then hydrogenated to (VIII). Alternatively, double-bond reduction of (XVI) by means of Mg in MeOH gave rise to the transesterified methyl ester (IX). Ester hydrolysis as above provided acid (X).

合成路线图解说明:

Resolution of the racemic acid (X) was carried out via activation as the mixed anhydride (XVIII) upon treatment with pivaloyl chloride (XVII) and triethylamine. Anhydride (XVIII) was then condensed with (S)-2-phenylglycinol (XIX), producing a separable mixture of diastereomeric amides. Isolation of the desired (S,S)-isomer (XX) by silica gel chromatography, followed by amide hydrolysis under acidic conditions, furnished the target (S)-enantiomer.

Drug Information Express,Drug R&D,Chemical Database,Patent Search.
Copyright © 2006-2026 Drug Future. All rights reserved.Contact Us