【药物名称】AGN-194310
化学结构式(Chemical Structure):
参考文献No.39906
标题:Benzopyran and benzothiopyran derivs. having retinoid antagonist-like activity
作者:Klein, E.S.; Chandraratna, R.A.; Teng, M.; Duong, T.T.; Gillett, S.J.; Beard, R.L.; Vuligonda, V.; Johnson, A.T.; Standeven, A.M.; Nagpal, S. (Allergan, Inc.)
来源:WO 9933821
合成路线图解说明:

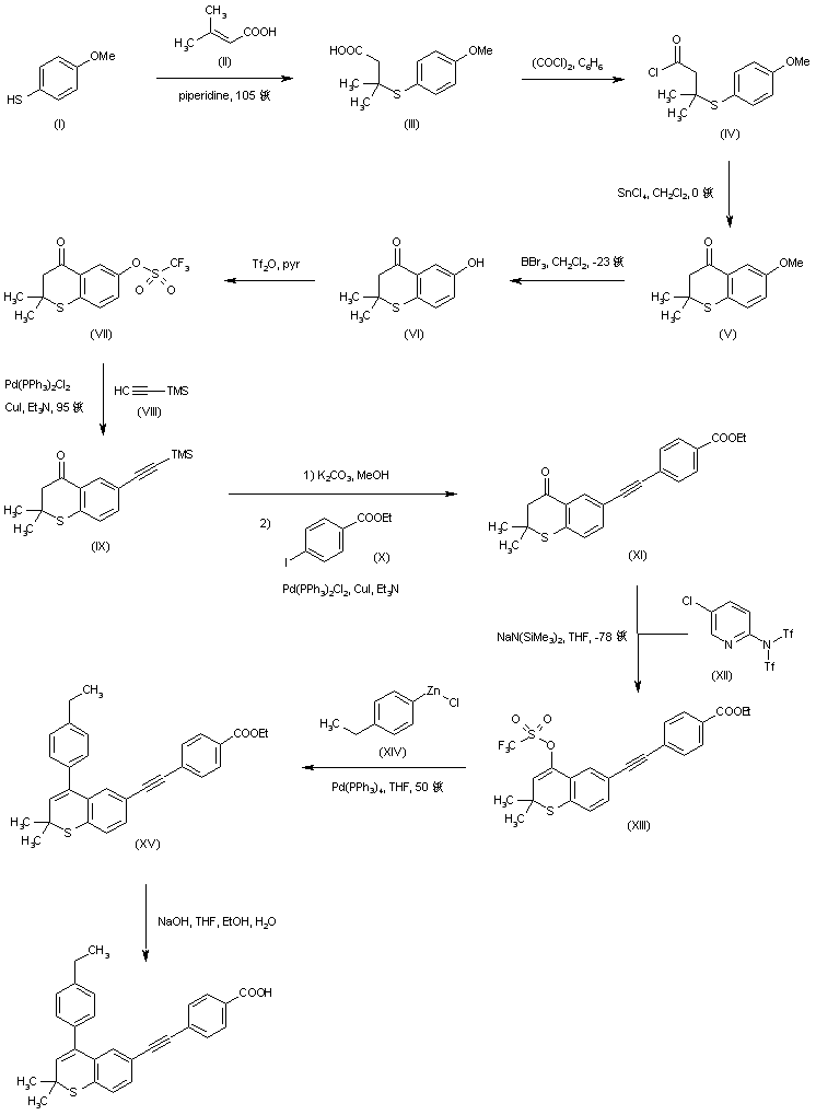
Addition of 3-methyl-2-butenoic acid (II) to 4-methoxythiophenol (I) in the presence of piperidine at 105 C afforded adduct (III). After conversion of (III) to the corresponding acid chloride (IV) with oxalyl chloride, Friedel-Crafts cyclization using SnCl4 produced thiochromanone (V). Cleavage of the methyl ether of (V) by means of BBr3 gave phenol (VI), which was converted to triflate (VII) with trifluoromethanesulfonic anhydride in pyridine. Coupling of (VII) with trimethylsilyl acetylene (VIII) using a palladium catalyst provided (IX). Subsequent desilylation of (IX) with K2CO3 in MeOH, followed by palladium-catalyzed coupling of the resulting alkyne with ethyl 4-iodobenzoate (X) afforded the diaryl acetylene (XI). Introduction of the 4-aryl group in (XI) was achieved by conversion of (XI) to vinyl triflate (XIII) upon treatment of the sodium enolate with the bis-triflimide reagent (XII), and further condensation with 4-ethyl-phenylzinc chloride (XIV) yielding (XV). Finally, basic hydrolysis of the ethyl ester (XV) furnished the target carboxylic acid.

参考文献No.547139
标题:Synthesis and biological activity of high-affinity retinoic acid receptor antagonists
作者:Johnson, A.T.; Wang, L.; Standeven, A.M.; Escobar, M.; Chandraratna, R.A.
来源:Bioorg Med Chem 1999,71321
合成路线图解说明:

Addition of 3-methyl-2-butenoic acid (II) to 4-methoxythiophenol (I) in the presence of piperidine at 105 C afforded adduct (III). After conversion of (III) to the corresponding acid chloride (IV) with oxalyl chloride, Friedel-Crafts cyclization using SnCl4 produced thiochromanone (V). Cleavage of the methyl ether of (V) by means of BBr3 gave phenol (VI), which was converted to triflate (VII) with trifluoromethanesulfonic anhydride in pyridine. Coupling of (VII) with trimethylsilyl acetylene (VIII) using a palladium catalyst provided (IX). Subsequent desilylation of (IX) with K2CO3 in MeOH, followed by palladium-catalyzed coupling of the resulting alkyne with ethyl 4-iodobenzoate (X) afforded the diaryl acetylene (XI). Introduction of the 4-aryl group in (XI) was achieved by conversion of (XI) to vinyl triflate (XIII) upon treatment of the sodium enolate with the bis-triflimide reagent (XII), and further condensation with 4-ethyl-phenylzinc chloride (XIV) yielding (XV). Finally, basic hydrolysis of the ethyl ester (XV) furnished the target carboxylic acid.

Drug Information Express,Drug R&D,Chemical Database,Patent Search.
Copyright © 2006-2026 Drug Future. All rights reserved.Contact Us