【药物名称】FR-172516
化学结构式(Chemical Structure):
参考文献No.27693
标题:4-(2-(3-Aryloxy-2-hydroxypropylaminoalkyloxy)-5-nitrophenyl)-1,4-dihydropyridines as antihypertensive agents
作者:Ito, K.; Akamatsu, H.; Inoue, K.; Onomura, O.; Hamatani, T.; Ueda, Y.; Esumi, K. (Daicel Chemical Industries, Ltd.; Fujisawa Pharmaceutical Co., Ltd.)
来源:EP 0741705; JP 1997510964; WO 9520576
合成路线图解说明:

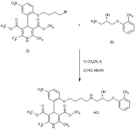
The compound was prepared by condensation of dimethyl 1,4-dihydro-4-[2-(4-bromobutoxy)-5-nitrophenyl]-6-methyl-2-trifluoromethylpyridine-3,5-dicarboxylate (I) with (S)-1-amino-3-(2-methylphenoxy)-2-propanol (II) in refluxing acetonitrile, followed by treatment with HCl in MeOH.

Drug Information Express,Drug R&D,Chemical Database,Patent Search.
Copyright © 2006-2026 Drug Future. All rights reserved.Contact Us