【药物名称】SDZ-NDD-094, NDD-094
化学结构式(Chemical Structure):
参考文献No.20463
标题:Imidazolylmethyl-pyridines
作者:Giger, R.K.A. (Novartis AG; Novartis Deutschland GmbH)
来源:DE 4131584; EP 0534904; JP 1993194491; US 5635521
合成路线图解说明:

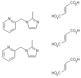
The compound was obtained by condensation of 2-(chloromethyl)pyridine (I) with 2-methylimidazole (II) in hot DMF. The free base (III) was then treated with fumaric acid in EtOH to produce the title fumarate salt.

Drug Information Express,Drug R&D,Chemical Database,Patent Search.
Copyright © 2006-2026 Drug Future. All rights reserved.Contact Us