【药物名称】
化学结构式(Chemical Structure):
参考文献No.38881
标题:Heterocyclic cpds. having antidiabetic, hypolipidaemic, antihypertensive properties, process for their preparation and pharmaceutical compsns. containing them
作者:Ramanujam, R.; Chakrabarti, R.; Lohray, B.B.; Bajji, A.C.; Lohray, V.B.; Alla, S.R. (Dr. Reddy's Research Foundation)
来源:US 5889032
合成路线图解说明:

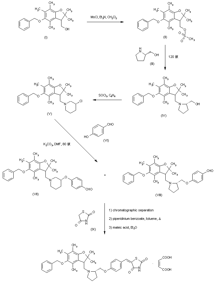
The known benzofuran carbinol (I) was converted to mesylate (II) upon treatment with methanesulfonyl chloride and triethylamine and then condensed with (S)-prolinol (III) at 120 C to afford adduct (IV). Subsequent chlorination of (IV) with concomitant rearrangement by means of thionyl chloride in benzene produced the 3-chloropiperidine derivative (V). The reaction of (V) with 4-hydroxybenzaldehyde (VI) in the presence of K2CO3 in DMF at 80 C furnished a mixture of six- and five-membered ring products (VII) and (VIII), which were separated by column chromatography. Condensation of the required aldehyde (VIII) with thiazolidinedione (IX) using piperidinium benzoate in refluxing toluene provided the target benzylidene thiazolidine, which was finally converted to the corresponding maleate salt.

合成路线图解说明:

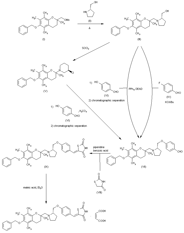
Mesylate (I) is heated with L-prolinol (II) to furnish pyrrolidine derivative (III), which can be converted into (VII) by different ways: 1) Treatment of (III) with t-BuOK and reaction with 4-fluorobenzaldehyde (IV) in DMF. 2) Conversion of (III) into chloropiperidine derivative (V) by means of SOCl2 in benzene, followed by reaction with 4-hydroxyaldehyde (VI) and K2CO3 in DMF in and chromatographic separation. 3) Mitsunobu reaction between (III) and 4-hydroxyaldehyde (VI) by treatment with PPh3 and DEAD in THF, followed by chromatographic separation. Derivative (VII) is condensed with 2,4-thiazolidinedione (VIII) in toluene in the presence of piperidine and benzoic acid to afford (IX), which is finally converted into its maleate form by treatment with maleic acid in Et2O.

参考文献No.540878
标题:Novel antidiabetic and hypolipidemic agents. 3. Benzofuran-containing thiazolidinediones
作者:Reddy, K.A.; Lohray, B.B.; Brushan, V.; Bajji, A.C.; Reddy, K.V.; Reddy, P.R.; Krishna, T.H.; Rao, I.N.; Jajoo, H.K.; Rao, N.V.; Chakrabarti, R.; Dileepkumar, T.; Rajagopalan, R.
来源:J Med Chem 1999,42(11),1927
合成路线图解说明:

The known benzofuran carbinol (I) was converted to mesylate (II) upon treatment with methanesulfonyl chloride and triethylamine and then condensed with (S)-prolinol (III) at 120 C to afford adduct (IV). Subsequent chlorination of (IV) with concomitant rearrangement by means of thionyl chloride in benzene produced the 3-chloropiperidine derivative (V). The reaction of (V) with 4-hydroxybenzaldehyde (VI) in the presence of K2CO3 in DMF at 80 C furnished a mixture of six- and five-membered ring products (VII) and (VIII), which were separated by column chromatography. Condensation of the required aldehyde (VIII) with thiazolidinedione (IX) using piperidinium benzoate in refluxing toluene provided the target benzylidene thiazolidine, which was finally converted to the corresponding maleate salt.

Drug Information Express,Drug R&D,Chemical Database,Patent Search.
Copyright © 2006-2026 Drug Future. All rights reserved.Contact Us