【药物名称】LG-121091
化学结构式(Chemical Structure):
参考文献No.531839
标题:Switching androgen receptor antagonists to agonists by modifying C-ring substituents on piperidino[3,2-g]quinolinone
作者:Zhi, L.; Tegley, C.M.; Marschke, K.B.; Jones, T.K.
来源:Bioorg Med Chem Lett 1999,9(7),1009
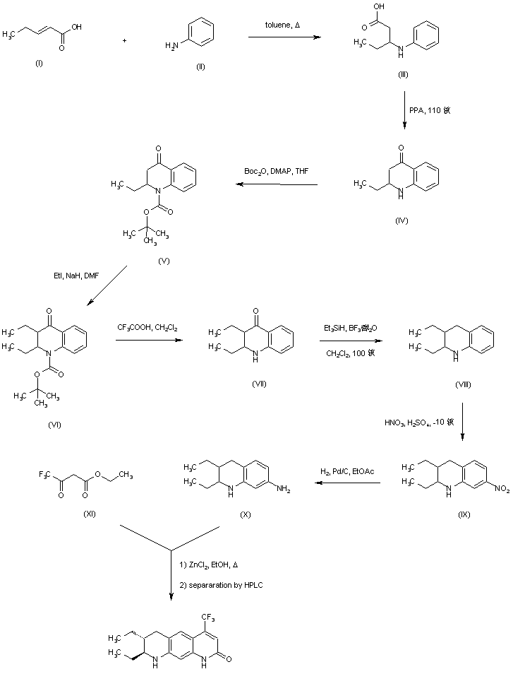
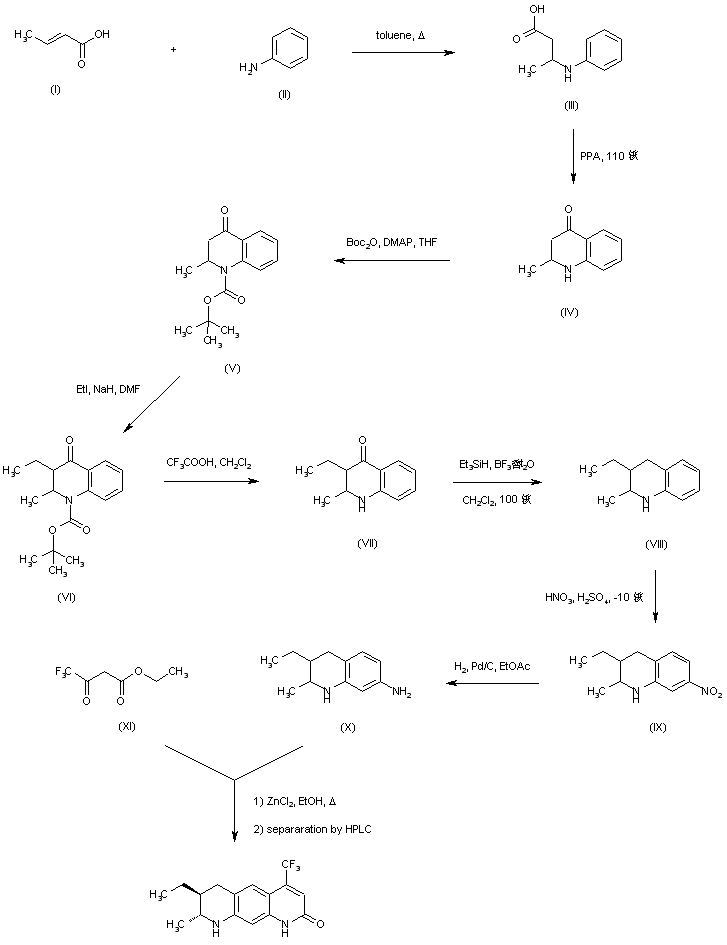
合成路线图解说明:

Conjugate addition of crotonic acid (I) to aniline (II) gave amino acid (III), which was cyclized to the quinolinone (IV) with polyphosphoric acid at 110 C. Protection of the amino group of (IV) with Boc2O gave carbamate (V), which was subsequenty alkylated with iodoethane in the presence of NaH to yield (VI) as a diastereomeric mixture. Acid deprotection of the Boc group of (VI) gave amine (VII). The ketone group was then reduced with triethylsilane and boron trifluoride to the tetrahydroquinoline (VIII). Nitration of (VIII), followed by hydrogenation of the resulting nitro derivative (IX) furnished the aminoquinoline (X). Further Knorr cyclization of (X) with ethyl 4,4,4-trifluoroacetoacetate (XI) by means of ZnCl2 in refluxing EtOH yielded the corresponding pyridoquinoline. The required trans isomer was finally isolated by preparative HPLC.

合成路线图解说明:

Conjugate addition of pentenoic acid (I) to aniline (II) gave amino acid (III), which was cyclized to the quinolinone (IV) with polyphosphoric acid at 110 C. Protection of the amino group of (IV) with Boc2O gave carbamate (V), which was subsequenty alkylated with iodoethane in the presence of NaH to yield (VI) as a diastereomeric mixture. Acid deprotection of the Boc group of (VI) gave amine (VII). The ketone group of (VII) was then reduced with triethylsilane and boron trifluoride to the tetrahydroquinoline (VIII). Nitration of (VIII), followed by hydrogenation of the resulting nitro derivative (IX) furnished the aminoquinoline (X). Further Knorr cyclization of (X) with ethyl 4,4,4-trifluoroacetoacetate (XI) by means of ZnCl2 in refluxing EtOH yielded the corresponding pyridoquinoline. The required trans isomer was finally isolated by preparative HPLC.

Drug Information Express,Drug R&D,Chemical Database,Patent Search.
Copyright © 2006-2026 Drug Future. All rights reserved.Contact Us