【药物名称】
化学结构式(Chemical Structure):
参考文献No.40050
标题:Acetylenic 1,5-diarylpyrazoles as antiinflammatory agents
作者:Chen, R.; Wachter, M.; Connolly, P. (Ortho-McNeil Pharmaceutical, Inc.)
来源:US 5925769
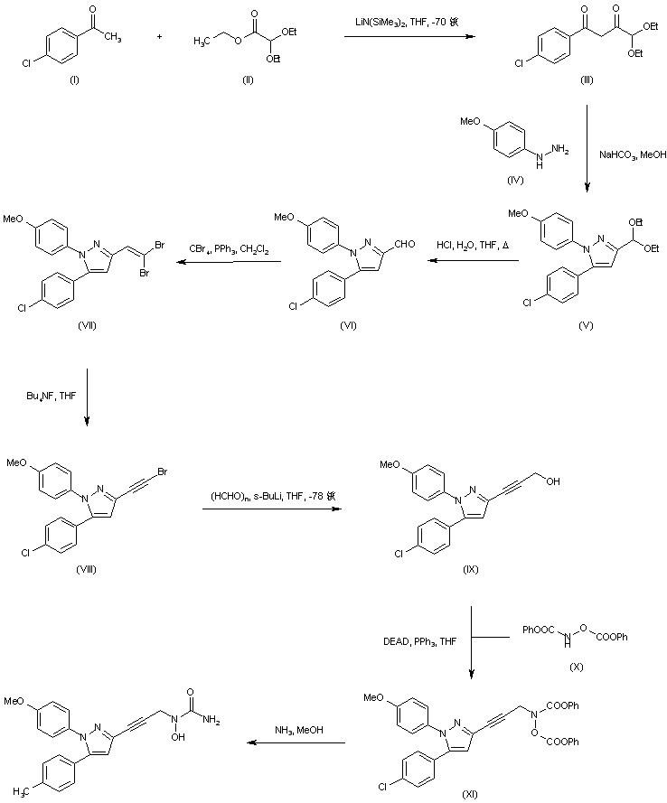
合成路线图解说明:

Condensation of 4-methylacetophenone (I) with ethyl diethoxyacetate (II) in the presence of lithium hexamethyldisilazide afforded diketoacetal (III). Formation of pyrazole (V) was accomplished by treatment of (III) with 4-methoxy-phenylhydrazine (IV). Subsequent acid hydrolysis of the diethyl acetal gave aldehyde (VI), which was condensed with carbon tetrabromide using triphenyl phosphine to furnish dibromoethylene compound (VII). Elimination of HBr in (VII) by treatment with tetrabutylammonium fluoride produced bromo-acetylene (VIII). After lithium-bromine exchange, addition of paraformaldehyde yielded the propargyl alcohol (IX). Further Mitsunobu coupling of (IX) with N,O-bis(phenoxycarbonyl)hydroxylamine (X) gave the N,O-bis-protected N-alkyl hydroxylamine (XI). This was finally converted to the title N-hydroxyurea by treatment with methanolic ammonia.

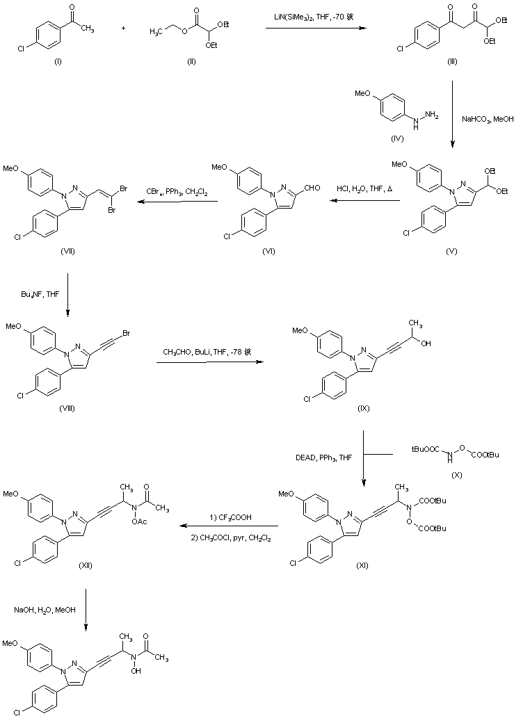
合成路线图解说明:

Condensation of 4-chloroacetophenone (I) with ethyl diethoxyacetate (II) in the presence of lithium hexamethyldisilazide afforded diketoacetal (III). Formation of pyrazole (V) was accomplished by treatment of (III) with 4-methoxy-phenylhydrazine (IV). Subsequent acid hydrolysis of the diethyl acetal gave aldehyde (VI), which was condensed with carbon tetrabromide using triphenyl phosphine to furnish dibromoethylene compound (VII). Elimination of HBr in (VII) by treatment with tetrabutylammonium fluoride produced bromoacetylene (VIII). After lithium-bromine exchange, addition of acetaldehyde yielded the propargyl alcohol (IX). Further Mitsunobu coupling of (IX) with N,O-bis(tert-butoxycarbonyl)hydroxylamine (X) gave the N,O-bis-protected N-alkyl hydroxylamine (XI). After Boc deprotection of (XI) by means of trifluoroacetic acid, coupling with acetyl chloride provided the O-acetyl hydroxamic acid (XII). Finally, cleavage of the O-acyl group of (XII) with methanolic NaOH furnished the title compound.

参考文献No.531838
标题:N-Hydroxyurea and hydroxamic acid inhibitors of cyclooxygenase and 5-lipoxygenase
作者:Connolly, P.J.; Wetter, S.K.; Beers, K.N.; Hamel, S.C.; Chen, R.H.; Wachter, M.P.; Ansell, J.; Singer, M.M.; Steber, M.; Ritchie, D.M.; Argentieri, D.C.
来源:Bioorg Med Chem Lett 1999,9(7),979
合成路线图解说明:

Condensation of 4-methylacetophenone (I) with ethyl diethoxyacetate (II) in the presence of lithium hexamethyldisilazide afforded diketoacetal (III). Formation of pyrazole (V) was accomplished by treatment of (III) with 4-methoxy-phenylhydrazine (IV). Subsequent acid hydrolysis of the diethyl acetal gave aldehyde (VI), which was condensed with carbon tetrabromide using triphenyl phosphine to furnish dibromoethylene compound (VII). Elimination of HBr in (VII) by treatment with tetrabutylammonium fluoride produced bromo-acetylene (VIII). After lithium-bromine exchange, addition of paraformaldehyde yielded the propargyl alcohol (IX). Further Mitsunobu coupling of (IX) with N,O-bis(phenoxycarbonyl)hydroxylamine (X) gave the N,O-bis-protected N-alkyl hydroxylamine (XI). This was finally converted to the title N-hydroxyurea by treatment with methanolic ammonia.

合成路线图解说明:

Condensation of 4-chloroacetophenone (I) with ethyl diethoxyacetate (II) in the presence of lithium hexamethyldisilazide afforded diketoacetal (III). Formation of pyrazole (V) was accomplished by treatment of (III) with 4-methoxy-phenylhydrazine (IV). Subsequent acid hydrolysis of the diethyl acetal gave aldehyde (VI), which was condensed with carbon tetrabromide using triphenyl phosphine to furnish dibromoethylene compound (VII). Elimination of HBr in (VII) by treatment with tetrabutylammonium fluoride produced bromoacetylene (VIII). After lithium-bromine exchange, addition of acetaldehyde yielded the propargyl alcohol (IX). Further Mitsunobu coupling of (IX) with N,O-bis(tert-butoxycarbonyl)hydroxylamine (X) gave the N,O-bis-protected N-alkyl hydroxylamine (XI). After Boc deprotection of (XI) by means of trifluoroacetic acid, coupling with acetyl chloride provided the O-acetyl hydroxamic acid (XII). Finally, cleavage of the O-acyl group of (XII) with methanolic NaOH furnished the title compound.

Drug Information Express,Drug R&D,Chemical Database,Patent Search.
Copyright © 2006-2026 Drug Future. All rights reserved.Contact Us