【药物名称】
化学结构式(Chemical Structure):
参考文献No.35616
标题:Thiol sulfone metalloprotease inhibitors
作者:Freskos, J.N.; Abbas, Z.S.; Decrescenzo, G.A.; Getman, D.P.; Heintz, R.M.; Mischke, B.V.; McDonald, J.J. (Pharmacia Corp.)
来源:EP 0939628; WO 9803164
合成路线图解说明:

Alkylation of 4-fluorothiophenol (I) with 3-chloropropanol (II) in the presence of K2CO3 in DMF provided thioether (III), which was oxidized to sulfone (IV) using Oxone(R). Fluorine displacement in (IV) with phenol and K2CO3 gave phenoxy derivative (V). Subsequent Mitsunobu condensation of (V) with thioacetic acid afforded thioacetate ester (VI), which by further hydrolysis with NaOMe furnished the target thiol.

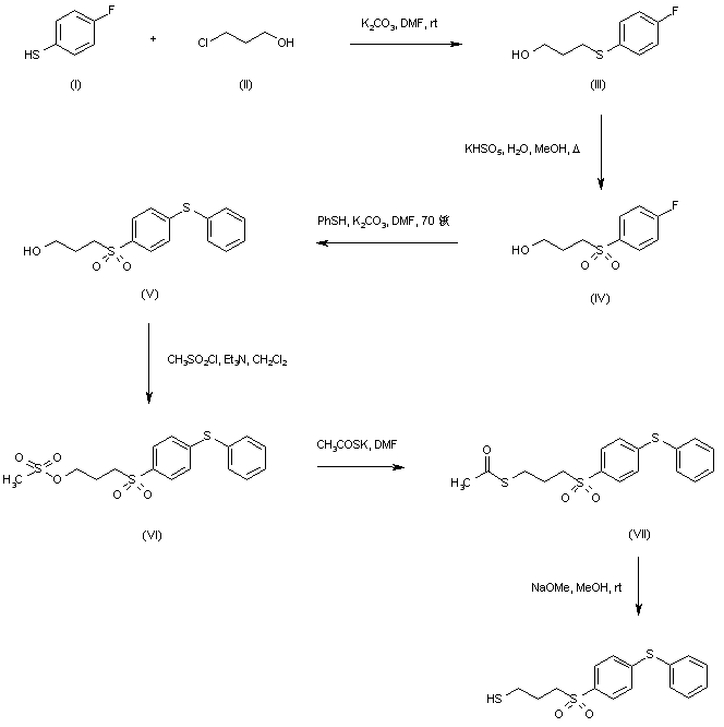
合成路线图解说明:

Alkylation of 4-fluorothiophenol (I) with 3-chloropropanol (II) in the presence of K2CO3 in DMF provided thioether (III), which was oxidized to sulfone (IV) using Oxone(R). Fluorine displacement in (IV) with thiophenol and K2CO3 gave phenylsulfanyl derivative (V). The hydroxyl group of (V) was converted to mesylate (VI) and then displaced by potassium thioacetate to afford thioacetate ester (VII). Finally, hydrolysis with methanolic NaOMe furnished the target thiol.

参考文献No.531535
标题:Transdermal fentanyl in children with cancer pain: Feasibility, tolerability, and pharmacokinetic correlates
作者:Collins, J.J.; Dunkel, I.J.; Gupta, S.K.; Inturrisi, C.E.; Lapin, J.; Palmer, L.N.; Weinstein, S.M.; Portenoy, R.K.
来源:J Pediatr 1999,134(3),319
合成路线图解说明:

The intermediate sulfone alcohol (V) has been obtained by an alternative procedure. 4-Phenoxyphenol (VII) was converted to thiophenol (IX) through the sequence of condensation with N,N-dimethylthiocarbamyl chloride, followed by thermal rearrangement of the resulting O-aryl thiocarbamate (VIII) to the S-aryl thiocarbamate, and then hydrolysis with KOH. Alkylation with 3-chloropropanol (II) provided thioether (X), which was then oxidized to the sulfone (V) with Oxone(R).

合成路线图解说明:

Alkylation of 4-fluorothiophenol (I) with 3-chloropropanol (II) in the presence of K2CO3 in DMF provided thioether (III), which was oxidized to sulfone (IV) using Oxone(R). Fluorine displacement in (IV) with thiophenol and K2CO3 gave phenylsulfanyl derivative (V). The hydroxyl group of (V) was converted to mesylate (VI) and then displaced by potassium thioacetate to afford thioacetate ester (VII). Finally, hydrolysis with methanolic NaOMe furnished the target thiol.

Drug Information Express,Drug R&D,Chemical Database,Patent Search.
Copyright © 2006-2026 Drug Future. All rights reserved.Contact Us