【药物名称】Diflomotecan, R-1536, BN-80915
化学结构式(Chemical Structure):
参考文献No.38728
标题:Optically pure camptothecin analogues, optically pure synthesis intermediate and method for preparing same
作者:Cazaux, J.-B.; Manginot, E.; Lavergne, O.; Le Breton, C.; Bigg, D. (SCRAS (Societ?de Conseils de Recherches et d'Applications Scientifiques))
来源:EP 1007527; FR 2768431; WO 9911646
合成路线图解说明:

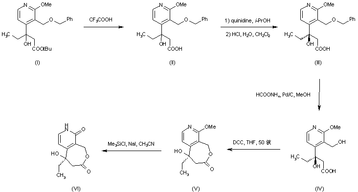
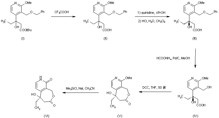
The synthesis of the intermediate oxepinopyridinone (VI) is detailed in Scheme 27517601a: The racemic acid (II), obtained by cleavage of tert-butyl ester (I) with trifluoroacetic acid, was resolved with quinidine to furnish the required (+)-(R)-enantiomer (III). Subsequent debenzylation of (III) by transfer hydrogenation with ammonium formate and Pd/C gave alcohol (IV), which was cyclized to the corresponding lactone (V) employing DCC in hot THF. Dealkylation of the methyl ether group by means of iodotrimethylsilane, generated from Me3SiCl and NaI, produced the intermediate pyridinone (VI).

合成路线图解说明:

Acylation of 3,4-difluoroaniline (VII) with Ac2O and Et3N afforded acetanilide (VIII). Subsequent condensation of (VIII) with the Vilsmeier reagent produced the quinolinecarbaldehyde (IX), which was reduced to alcohol (X) using NaBH4. Coupling of (X) with pyridinone (VI) under Mitsunobu conditions yielded adduct (XI). Finally, intramolecular Heck reaction in the presence of palladium diacetate and triphenylphosphine provided the desired pentacyclic compound.

合成路线图解说明:

The synthesis of the intermediate oxepinopyridinone (VI) is detailed in Scheme 27517701a: The racemic acid (II), obtained by cleavage of tert-butyl ester (I) with trifluoroacetic acid, was resolved with quinidine to furnish the required (+)-(R)-enantiomer (III). Subsequent debenzylation of (III) by transfer hydrogenation with ammonium formate and Pd/C gave alcohol (IV), which was cyclized to the corresponding lactone (V) employing DCC in hot THF. Dealkylation of the methyl ether group by means of iodotrimethylsilane, generated from Me3SiCl and NaI, produced the intermediate pyridinone (VI).

合成路线图解说明:

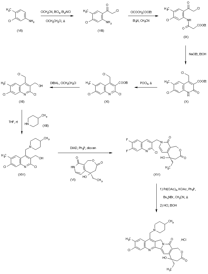
Acylation of 3-chloro-4-methylaniline (VII) with chloroacetonitrile in the presence of BCl3 and Et2AlCl produced the chloroacetophenone (VIII). Subsequent condensation of (VIII) with ethylmalonyl chloride gave amide (IX), which was cyclized to the quinolinone (X) upon treatment with ethanolic NaOEt. Reaction of the quinolinone (X) with POCl3 afforded chloroquinoline (XI). The ester group of (XI) was then reduced to alcohol (XII) by means of diisobutylaluminum hydride. Condensation of (XII) with 4-methylpiperidine (XIII) gave adduct (IV), which was further coupled with pyridinone (VI) under Mitsunobu conditions to yield (Xv). Finally, intramolecular Heck reaction in the presence of palladium diacetate and triphenylphosphine provided the desired pentacyclic compound, which was isolated as the hydrochloride salt.

参考文献No.550223
标题:BN 80927: A novel homocamptothecin with inhibitory activities on both topoisomerase I and topoisomerase II
作者:Lavergne, O.; Harnett, J.; Rolland, A.; Lanco, C.; Lesueur-Ginot, L.; Demarquay, D.; Huchet, M.; Coulomb, H.; Bigg, D.C.H.
来源:Bioorg Med Chem Lett 1999,9(17),2599
合成路线图解说明:

The synthesis of the intermediate oxepinopyridinone (VI) is detailed in Scheme 27517601a: The racemic acid (II), obtained by cleavage of tert-butyl ester (I) with trifluoroacetic acid, was resolved with quinidine to furnish the required (+)-(R)-enantiomer (III). Subsequent debenzylation of (III) by transfer hydrogenation with ammonium formate and Pd/C gave alcohol (IV), which was cyclized to the corresponding lactone (V) employing DCC in hot THF. Dealkylation of the methyl ether group by means of iodotrimethylsilane, generated from Me3SiCl and NaI, produced the intermediate pyridinone (VI).

合成路线图解说明:

The synthesis of the intermediate oxepinopyridinone (VI) is detailed in Scheme 27517701a: The racemic acid (II), obtained by cleavage of tert-butyl ester (I) with trifluoroacetic acid, was resolved with quinidine to furnish the required (+)-(R)-enantiomer (III). Subsequent debenzylation of (III) by transfer hydrogenation with ammonium formate and Pd/C gave alcohol (IV), which was cyclized to the corresponding lactone (V) employing DCC in hot THF. Dealkylation of the methyl ether group by means of iodotrimethylsilane, generated from Me3SiCl and NaI, produced the intermediate pyridinone (VI).

合成路线图解说明:

Acylation of 3-chloro-4-methylaniline (VII) with chloroacetonitrile in the presence of BCl3 and Et2AlCl produced the chloroacetophenone (VIII). Subsequent condensation of (VIII) with ethylmalonyl chloride gave amide (IX), which was cyclized to the quinolinone (X) upon treatment with ethanolic NaOEt. Reaction of the quinolinone (X) with POCl3 afforded chloroquinoline (XI). The ester group of (XI) was then reduced to alcohol (XII) by means of diisobutylaluminum hydride. Condensation of (XII) with 4-methylpiperidine (XIII) gave adduct (IV), which was further coupled with pyridinone (VI) under Mitsunobu conditions to yield (Xv). Finally, intramolecular Heck reaction in the presence of palladium diacetate and triphenylphosphine provided the desired pentacyclic compound, which was isolated as the hydrochloride salt.

参考文献No.576870
标题:Topoisomerase I-mediated antiproliferative activity of enantiomerically pure fluorinated homocamptothecins
作者:Lavergne, O.; Demarquay, D.; Bailly, C.; Lanco, C.; Rolland, A.; Huchet, M.; Coulomb, H.; Muller, N.; Baroggi, N.; Camara, J.; Le Breton, C.; Manginot, E.; Cazaux, J.B.; Bigg, D.C.
来源:J Med Chem 2000,43(11),2285
合成路线图解说明:

Acylation of 3,4-difluoroaniline (VII) with Ac2O and Et3N afforded acetanilide (VIII). Subsequent condensation of (VIII) with the Vilsmeier reagent produced the quinolinecarbaldehyde (IX), which was reduced to alcohol (X) using NaBH4. Coupling of (X) with pyridinone (VI) under Mitsunobu conditions yielded adduct (XI). Finally, intramolecular Heck reaction in the presence of palladium diacetate and triphenylphosphine provided the desired pentacyclic compound.

合成路线图解说明:

Condensation of 3-fluoroaniline (I) with the cyclic anhydride (II) in AcOH gave amide (III). Subsequent cyclization of (III) in hot H2SO4 produced quinolineacetic acid (IV). After esterification of (IV) with methanol in the presence of SOCl2, the resulting methyl ester (V) was reduced to alcohol (VI) using NaBH4 in refluxing THF. Treatment of alcohol (VI) with SOCl2 afforded chloride (VII), which was condensed with 4-(1-piperazinyl)thieno[3,2-c]pyridine (VIII) yielding adduct (IX), isolated as the dihydro-chloride salt. Finally, alkylation of the quinoline N atom of (IX) with bromoacetamide (A) under phase-transfer conditions furnished the title compound.

Drug Information Express,Drug R&D,Chemical Database,Patent Search.
Copyright © 2006-2026 Drug Future. All rights reserved.Contact Us