【药物名称】
化学结构式(Chemical Structure):
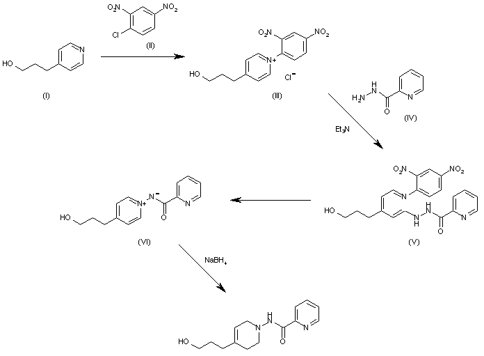
参考文献No.536884
标题:Synthesis of some N-[pyridyl(phenyl)carbonylamino]hydroxyalkyl(benzyl)-1,2,3,6-tetrahydropyridines as potential anti-inflammatory agents
作者:Rao, K.N.; et al.
来源:J Heterocycl Chem 1995,32(1),307
合成路线图解说明:

The condensation of 4-(3-hydroxypropyl)pyridine (I) with 2,4-dinitrochlorobenzene (II) in refluxing acetone gives the pyridinum chloride (III), which is treated with 2-pyridylcarbonyl hydrazide (IV) and triethylamine in methanol yielding the dinitroaniline derivative (V). The cyclization of (V) in refluxing dioxane/water affords the pyridinium ylide (VI), which is finally reduced with NaBH4 in ethanol.

Drug Information Express,Drug R&D,Chemical Database,Patent Search.
Copyright © 2006-2026 Drug Future. All rights reserved.Contact Us