【药物名称】
化学结构式(Chemical Structure):
参考文献No.530616
标题:Synthesis of flavone-2'-carboxylic acid analogues
作者:Belluti, F.; Carrara, M.; Rampa, A.; Gobbi, S.; Da Re, P.; Valenti, P.; Cima, L.; Bisi, A.
来源:Anti-Cancer Drug Des 1998,13(8),881
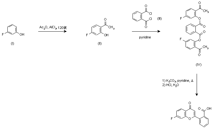
合成路线图解说明:

Friedel-Crafts acylation of 3-fluorophenol (I) with acetic anhydride in the presence of AlCl3 at 120 C provided 4-fluoro-2-hydroxy-acetophenone (II). Subsequent treatment of (II) with phthaloyl chloride (III) in pyridine afforded diester (IV). Heating of (IV) with K2CO3 in pyridine, followed by acidic work-up yielded the title flavone.

Drug Information Express,Drug R&D,Chemical Database,Patent Search.
Copyright © 2006-2026 Drug Future. All rights reserved.Contact Us