【药物名称】
化学结构式(Chemical Structure):
参考文献No.533684
标题:Prodrugs of neuron-selective monoamine oxidase inhibitors: Amino acid derivatives of 1-(4-aminophenyl)-2-aminopropanes
作者:Larsson, L.-G.; Florvall, L.; Ross, S.B.; Fagervall, I.
来源:Eur J Med Chem 1999,34(2),137
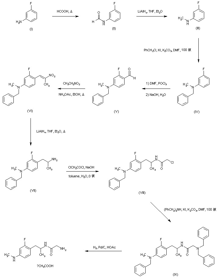
合成路线图解说明:

Reaction of 3-fluoroaniline (I) with formic acid gave formanilide (II), which was reduced by means of LiAlH4 to afford 3-fluoro-N-methylaniline (III). Further alkylation of (III) with benzyl chloride provided the tertiary amine (IV). Vilsmeier-Haack formylation of (IV) with POCl3 and DMF yielded aldehyde (V), which was condensed with nitroethane in the presence of ammonium acetate to give the 2-nitropropene derivative (VI). After reduction of (VI) to the amine (VII) with LiAlH4, condensation with chloroacetyl chloride afforded chloracetamide (VIII). Subsequent displacement of the chlorine of (VIII) with dibenzylamine yielded the tertiary amine (IX). Finally, hydrogenolytic debenzylation of (IX) in the presence of Pd/C furnished the title compound.

Drug Information Express,Drug R&D,Chemical Database,Patent Search.
Copyright © 2006-2026 Drug Future. All rights reserved.Contact Us