【药物名称】
化学结构式(Chemical Structure):
参考文献No.533715
标题:New 4(1H)-pyridinone derivatives as analgesic agents
作者:Aytemir, M.D.; et al.
来源:Arzneim-Forsch Drug Res 1999,49(3),250
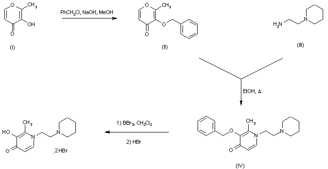
合成路线图解说明:

Maltol (I) was protected as the benzyl ether (II) by means of benzyl chloride, and subsequently treated with 1-(2-aminoethyl)piperidine (III) in refluxing ethanol to produce the substituted pyridone (IV). The benzyl protecting group of (IV) was finally removed with boron tribromide, yielding the title hydroxypyridone, which was isolated as the dihydrobromide salt.

Drug Information Express,Drug R&D,Chemical Database,Patent Search.
Copyright © 2006-2026 Drug Future. All rights reserved.Contact Us