【药物名称】SF-303
化学结构式(Chemical Structure):
参考文献No.33733
标题:Isoxazoline, isothiazoline and pyrazoline factor Xa inhibitors
作者:Quan, M.L.; Wityak, J.; Galemmo, R.A. Jr.; Stouten, P.F.W.; Pruitt, J.R. (DuPont Pharmaceuticals Co.)
来源:EP 0874629; US 5939418; WO 9723212
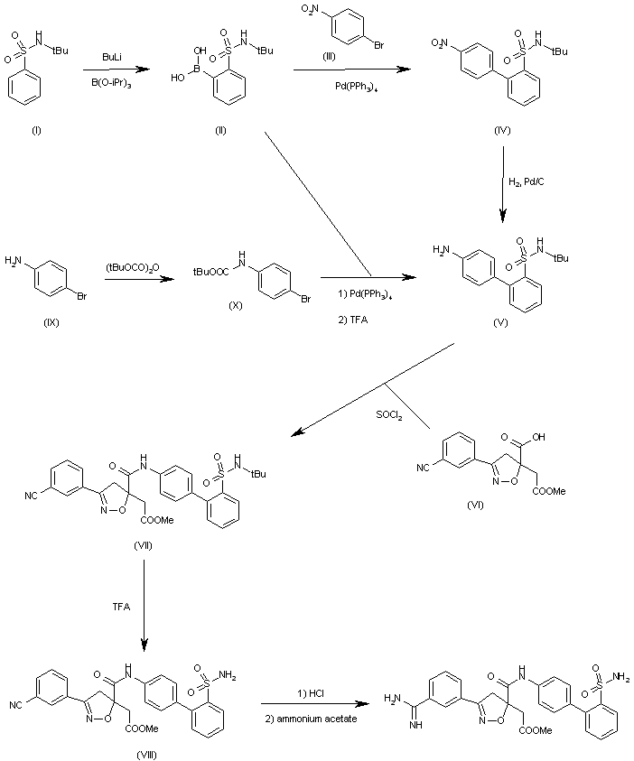
合成路线图解说明:

The reaction of N-tert-butylbenzenesulfonamide (I) with triisopropyl borate by means of BuLi in THF gives the boronic acid (II), which is condensed with 4-bromonitrobenzene (III) by means of palladium tetrakis(triphenylphosphine) to yield the N-tert-butyl-4'-nitrobiphenyl-2-sulfonamide (IV). The reduction of (IV) with H2 over Pd/C in methanol affords the biphenylamine (V), which is acylated with 3-(3-cyanophenyl)-5-(methoxycarbonylmethyl)-4,5-dihydroisoxazole-5-carboxylic acid (VI), by means of SOCl2 in acetonitrile affording the corresponding amide (VII). The reaction of (VII) with trifluoroacetic acid eliminates the tert-butyl protecting group providing intermediate (VIII). Finally, the cyano group of (VIII) is converted into amidino by reaction with HCl in chloroform/methanol and reaction of the intermediate imidate with ammonium acetate. Alternatively, biphenylamine (V) can also be obtained as follows: The reaction of 4-bromoaniline (IX) with tert-butoxycarbonyl anhydride in THF gives the corresponding carbamate (X), which is condensed with the boronic acid (II) by means of palladium tetrakis triphenylphosphine and deprotected with trifluoroacetic acid to afford the target intermediate (V).

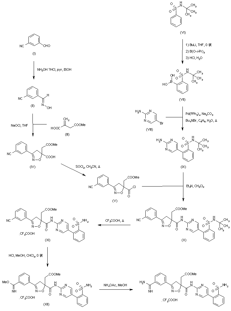
合成路线图解说明:

3-Cyanobenzaldehyde (I) was converted to oxime (II) by reaction with hydroxylamine in pyridine. The intermediate nitrile oxide, generated from chlorination and further elimination of HCl, underwent a [2+3] cycloaddition with itaconic acid monomethyl ester (III) to produce the isoxazoline (IV). The carboxylate group of (IV) was then activated as the corresponding acid chloride (V) upon treatment with SOCl2. Boronic acid (VII) was prepared from N-tert-butyl benzenesulfonamide (VI) by lithiation with n-butyllithium, followed by reaction with triisopropyl borate and quenching with HCl. Subsequent Suzuki coupling of (VII) with 2-amino-5-bromopyrimidine (VIII) using Pd(PPh3)4 and Na2CO3 afforded the 2-amino-4-arylpyrimidine (IX). Condensation of amine (IX) with acid chloride (V) in the presence of Et3N gave amide (X). The N-tert-butyl group of (X) was then deprotected by means of trifluoroacetic acid to yield (XI) as the trifluoroacetate salt. The cyano group of (XI) was converted to imidate (XII) with HCl and MeOH. This was finally reacted with ammonium acetate in MeOH to furnish the title amidine.

Drug Information Express,Drug R&D,Chemical Database,Patent Search.
Copyright © 2006-2026 Drug Future. All rights reserved.Contact Us