【药物名称】
化学结构式(Chemical Structure):
参考文献No.530502
标题:N,N-Disubstituted aminomethyl benzofuran derivatives: Synthesis and preliminary binding evaluation
作者:Boy? S.; Pfeiffer, B.; Renard, P.; Rettori, M.-C.; Guillaumet, G.; Viaud, M.C.
来源:Bioorg Med Chem 1999,7(2),335
合成路线图解说明:

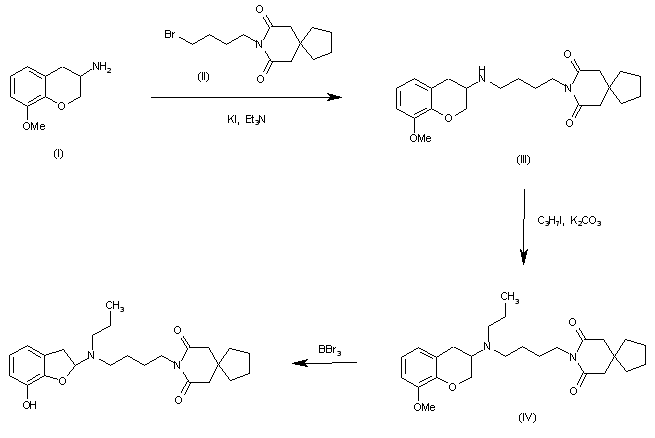
The condensation of 8-methoxy-3,4-dihydro-2H-1-benzopyran-3-amine (I) with 8-(4-bromobutyl)-8-azaspiro[4.5]decane-7,9-dione (II) by means of KI and triethylamine in ot DMF gives the secondary amine (III), which is alkylated with propyliodide and K2CO3 in hot DMF affording the tertiary amine (IV). Finally, this compound is treated with BBr3 in refluxing dichloromethane.

Drug Information Express,Drug R&D,Chemical Database,Patent Search.
Copyright © 2006-2026 Drug Future. All rights reserved.Contact Us