【药物名称】L-750034
化学结构式(Chemical Structure):
参考文献No.23929
标题:Fibrinogen receptor antagonists
作者:Egbertson, M.S.; Turchi, L.M.; Hartman, G.D.; Halczenko, W.; Whitman, D.B.; Perkins, J.J.; Krause, A.E.; Ihle, N.; Claremon, D.A.; Hoffman, W.; Duggan, M.E. (Merck & Co., Inc.)
来源:EP 0673247; JP 1996504194; WO 9412181
合成路线图解说明:

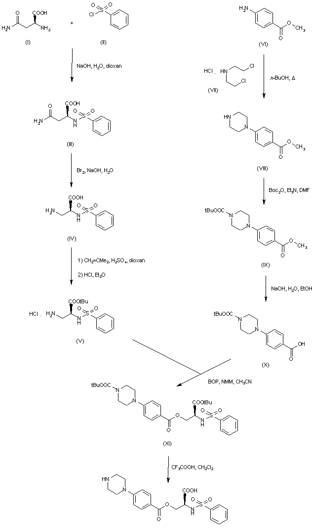
The condensation of L-asparagine (I) with benzenesulfonyl chloride (II) in the presence of NaOH gave sulfonamide (III). Subsequent Hofmann rearrangement of (III) employing sodium hypobromite produced the diaminopropionic acid derivative (IV), which was protected as the tert-butyl ester (V) using isobutylene in the presence of H2SO4. Condensation of methyl 4-aminobenzoate (VI) with bis(2-chloroethyl)amine (VII) in refluxing butanol yielded the arylpiperazine (VIII), which was protected with di tert-butyl dicarbonate to give the corresponding carbamate (IX). Basic hydrolysis of the methyl ester of (IX) provided carboxylic acid (X). This was then coupled with amine (V) using benzotriazol-1-yloxy-tris(dimethylamino)phosphonium hexafluorophosphate (BOP) to afford amide (XI). Finally, deprotection of the tert-butyl ester and BOC group of (XI) with trifluoroacetic acid furnished the title compound.

Drug Information Express,Drug R&D,Chemical Database,Patent Search.
Copyright © 2006-2026 Drug Future. All rights reserved.Contact Us