【药物名称】4'-MethylBVDU
化学结构式(Chemical Structure):
参考文献No.530483
标题:Synthesis of novel 4'-C-methyl-pyrimidine nucleosides and their biological activities
作者:Kitano, K.; Machida, H.; Miura, S.; Ohrui, H.
来源:Bioorg Med Chem Lett 1999,9(6),827
合成路线图解说明:

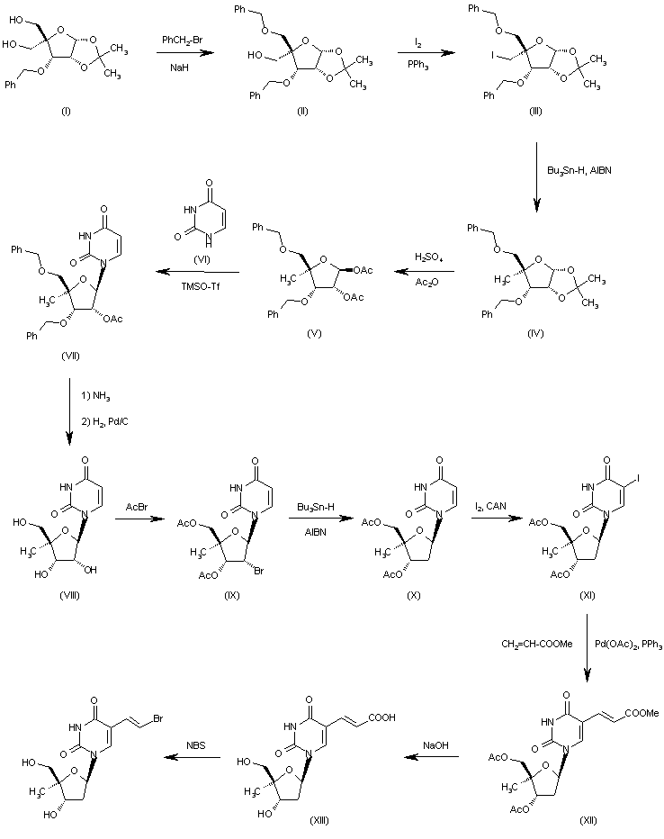
The benzylation of 4-C-(hydroxymethyl)-1,2-isopropylidene-alpha-D-ribofuranose (I) with benzyl bromide and NaH in DMF gives the 3,5-di-O-benzyl derivative (II), which is treated with I2, imidazole and triphenylphosphine in refluxing toluene/acetonitrile yielding the iodomethyl derivative (III). The deiodination of (III) with tributyltin hydride and AIBN in hot toluene affords the 4-C-methyl compound (IV), which is treated with acetic anhydride and H2SO4 in acetic acid to give the 1,2-di-O-acetyl derivative (V). The condensation of (V) with uracil (VI) by means of TMS-OTf yields the uridine derivative (VII), which is deprotected first by deacetylation with ammonia and then by debenzylation with H2 over Pd/C affording the 4'-C-methyl-uridine (VIII). The reaction of (VIII) with acetyl bromide in refluxing acetonitrile gives the acetylated 2'-bromo derivative (IX), which is debrominated with tributyltin hydride and AIBN in hot toluene yielding 3',5'-O-diacetyl-2'-deoxy-4'-C-methyl-uridine (X). The iodination of (X) with I2 and ceric ammonium nitrate (CAN) affords the 5-iodo derivative (XI), which is condensed with methyl acrylate by means of Pd(OAc)2 and triphenylphosphine in dioxane giving the methoxycarbonylvinyl derivative (XII). The hydrolysis of (XII) with NaOH in methanol yields 5-(2(E)-carboxyvinyl)-2'-deoxy-4'-C-methyl-uridine (XIII), which is finally submitted to a decarboxylative bromination with N-bromosuccinimide ans KHCO3 in DMF.

参考文献No.800107
标题:Synthesis of 4'-C-methylnucleosides
作者:Waga, T.; et al.
来源:Biosci Biotech Biochem 1993,57(9),1433-38
合成路线图解说明:

The benzylation of 4-C-(hydroxymethyl)-1,2-isopropylidene-alpha-D-ribofuranose (I) with benzyl bromide and NaH in DMF gives the 3,5-di-O-benzyl derivative (II), which is treated with I2, imidazole and triphenylphosphine in refluxing toluene/acetonitrile yielding the iodomethyl derivative (III). The deiodination of (III) with tributyltin hydride and AIBN in hot toluene affords the 4-C-methyl compound (IV), which is treated with acetic anhydride and H2SO4 in acetic acid to give the 1,2-di-O-acetyl derivative (V). The condensation of (V) with uracil (VI) by means of TMS-OTf yields the uridine derivative (VII), which is deprotected first by deacetylation with ammonia and then by debenzylation with H2 over Pd/C affording the 4'-C-methyl-uridine (VIII). The reaction of (VIII) with acetyl bromide in refluxing acetonitrile gives the acetylated 2'-bromo derivative (IX), which is debrominated with tributyltin hydride and AIBN in hot toluene yielding 3',5'-O-diacetyl-2'-deoxy-4'-C-methyl-uridine (X). The iodination of (X) with I2 and ceric ammonium nitrate (CAN) affords the 5-iodo derivative (XI), which is condensed with methyl acrylate by means of Pd(OAc)2 and triphenylphosphine in dioxane giving the methoxycarbonylvinyl derivative (XII). The hydrolysis of (XII) with NaOH in methanol yields 5-(2(E)-carboxyvinyl)-2'-deoxy-4'-C-methyl-uridine (XIII), which is finally submitted to a decarboxylative bromination with N-bromosuccinimide ans KHCO3 in DMF.

参考文献No.800108
标题:Synthesis and biological evaluation of 4'-C-methylnucleosides
作者:Waga, T.; et al.
来源:Nucleosides Nucleotides 1996,15(1-3),287-304
合成路线图解说明:

The benzylation of 4-C-(hydroxymethyl)-1,2-isopropylidene-alpha-D-ribofuranose (I) with benzyl bromide and NaH in DMF gives the 3,5-di-O-benzyl derivative (II), which is treated with I2, imidazole and triphenylphosphine in refluxing toluene/acetonitrile yielding the iodomethyl derivative (III). The deiodination of (III) with tributyltin hydride and AIBN in hot toluene affords the 4-C-methyl compound (IV), which is treated with acetic anhydride and H2SO4 in acetic acid to give the 1,2-di-O-acetyl derivative (V). The condensation of (V) with uracil (VI) by means of TMS-OTf yields the uridine derivative (VII), which is deprotected first by deacetylation with ammonia and then by debenzylation with H2 over Pd/C affording the 4'-C-methyl-uridine (VIII). The reaction of (VIII) with acetyl bromide in refluxing acetonitrile gives the acetylated 2'-bromo derivative (IX), which is debrominated with tributyltin hydride and AIBN in hot toluene yielding 3',5'-O-diacetyl-2'-deoxy-4'-C-methyl-uridine (X). The iodination of (X) with I2 and ceric ammonium nitrate (CAN) affords the 5-iodo derivative (XI), which is condensed with methyl acrylate by means of Pd(OAc)2 and triphenylphosphine in dioxane giving the methoxycarbonylvinyl derivative (XII). The hydrolysis of (XII) with NaOH in methanol yields 5-(2(E)-carboxyvinyl)-2'-deoxy-4'-C-methyl-uridine (XIII), which is finally submitted to a decarboxylative bromination with N-bromosuccinimide ans KHCO3 in DMF.

Drug Information Express,Drug R&D,Chemical Database,Patent Search.
Copyright © 2006-2026 Drug Future. All rights reserved.Contact Us