【药物名称】
化学结构式(Chemical Structure):
参考文献No.530482
标题:Piperidinyl-3-phosphinic acids as novel uptake inhibitors of the neurotransmitter gamma-aminobutyric acid (GABA)
作者:Kehler, J.; Stensbol, T.B.; Krogsgaard-Larsen, P.
来源:Bioorg Med Chem Lett 1999,9(6),811
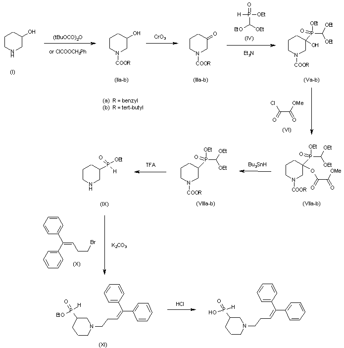
合成路线图解说明:

The protection of 3-piperidinol (I) with tert-butoxycarbonyl anhydride or benzyloxycarbonyl chloride gives the corresponding protected piperidine (II), which is oxidized with CrO3 and acetic anhydride in pyridine yielding the piperidinone (III). The condensation of (III) with phosphinate (IV) and triethylamine at 100 C affords the alpha-hydroxyphosphinate (V), which is acylated with methoxalyl chloride (VI) and DMAP giving the methoxalyl ester (VII). The reduction of (VII) with tributyl in hydride and AIBN yields the protected phophinate (VIII), which is finally deprotected and hydrolyzed with 6M HCl.

合成路线图解说明:

The protection of 3-piperidinol (I) with tert-butoxycarbonyl anhydride or benzyloxycarbonyl chloride gives the corresponding protected piperidine (II), which is oxidized with CrO3 and acetic anhydride in pyridine yielding the piperidinone (III). The condensation of (III) with phosphinate (IV) and triethylamine at 100 C affords the alpha-hydroxyphosphinate (V), which is acylated with methoxalyl chloride (VI) and DMAP giving the methoxalyl ester (VII). The reduction of (VII) with tributyl in hydride and AIBN yields the protected phophinate (VIII), which is deprotected with trifluoroacetic acid affording (IX) with its free NH group. The alkylation of (IX) with 4,4-diphenyl-3-butenyl bromide (X) provides the alkylated piperidinephosphinate (XI), which is finally hydrolyzed with refluxing 6M HCl.

Drug Information Express,Drug R&D,Chemical Database,Patent Search.
Copyright © 2006-2026 Drug Future. All rights reserved.Contact Us