【药物名称】Degarelix acetate, FE-200486
化学结构式(Chemical Structure):
参考文献No.46614
标题:GnRH antagonists being modified in positions 5 and 6
作者:Jiang, G.; Semple, G. (Ferring BV Group Holding)
来源:WO 9846634
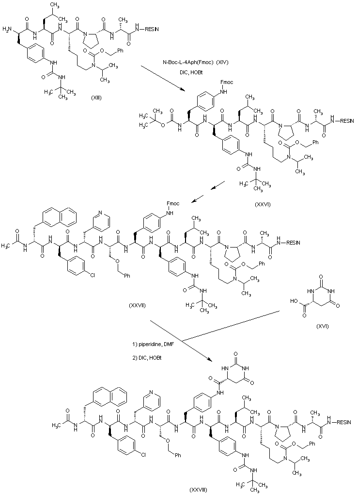
合成路线图解说明:

N-Boc-D-alanine (I) was coupled to the resin using diisopropyl carbodiimide and 1-hydroxybenzotriazole to afford resin (II). Subsequent cleavage of the Boc protecting group by means of trifluoroacetic acid provided the D-alanine-bound resin (III). Sequential coupling and deprotection cycles were carried out with the following protected amino acids: N-Boc-L-proline (IV), N-alpha-Boc-N6-isopropyl-N6-carbobenzoxy-L-lysine (VI) and N-Boc-L-leucine (VIII) to afford the respective peptide resins (V), (VII) and (IX). N-alpha-Boc-D-4-(Fmoc-amino)phenylalanine (X) was coupled to (IX), yielding resin (XI). Cleavage of the side-chain Fmoc protecting group with piperidine in DMF gave the aniline derivative (XII). After conversion to the corresponding urea by treatment with tert-butyl isocyanate, the Boc group was cleaved with trifluoroacetic acid to produce resin (XIII).

合成路线图解说明:

Further coupling with N-alpha-Boc-L-4-(Fmoc-amino)phenylalanine (XIV), followed by Fmoc deprotection with piperidine, furnished (XV). The aniline derivative (XV) was acylated with L-hydroorotic acid (XVI) to yield, after Boc group cleavage, resin (XVII). Coupling of (XVII) with N-Boc-L-serine(O-benzyl) (XVIII) and subsequent deprotection gave (XIX).

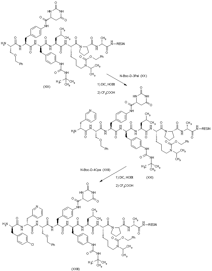
合成路线图解说明:

Peptide (XIX) was sequentially coupled with N-alpha-Boc-D-(3-pyridyl)alanine (XX) and N-Boc-D-(4-chlorophenyl)alanine (XXII) to furnish, after the corresponding deprotection cycles with TFA, the resins (XXI) and (XXIII), respectively.

合成路线图解说明:

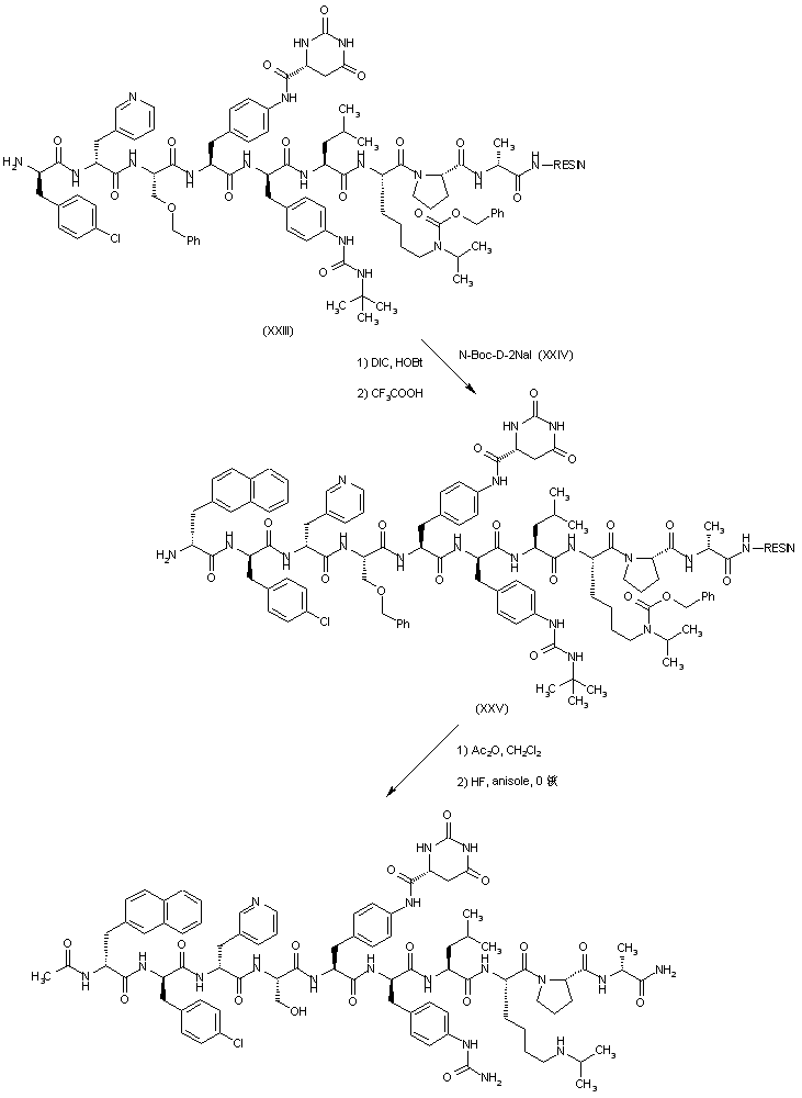
The coupling of resin (XXIII) with N-Boc-D-(2-naphthyl)alanine (XXIV) as before gave, after the corresponding deprotection cycle with trifluoroacetic acid, resin (XXV). The peptide resin (XXV) was acetylated with Ac2O and finally deprotected and cleaved from the resin by treatment with HF to provide the target peptide.

合成路线图解说明:

Alternatively, after coupling of the peptide resin (XIII) with alpha-Boc-L-4-(Fmoc-amino)phenylalanine (XIV), the Fmoc protecting group was not removed, yielding resin (XXVI). Subsequent coupling cycles with amino acids (XVIII), (XX), (XXII) and (XXIV) as above finally produced resin (XXVII). The Fmoc group was then deprotected by treatment with piperidine, and the resulting aniline was acylated with L-hydroorotic acid (XVI) to provide resin (XXVIII), which was finally cleaved and deprotected by treatment with HF.

参考文献No.603948
标题:GnRH antagonists: A new generation of long acting analogues incorporating p-ureido-phenylalanines at positions 5 and 6
作者:Jiang, G.; Stalewski, J.; Galyean, R.; Dykert, J.; Schteingart, C.; Broqua, P.; Aebi, A.; Aubert, M.L.; Semple, G.; Robson, P.; Akinsanya, K.; Haigh, R.; Riviere, P.; Trojnar, J.; Junien, J.L.; Rivier, J.E.
来源:J Med Chem 2001,44(3),453
合成路线图解说明:

N-Boc-D-alanine (I) was coupled to the resin using diisopropyl carbodiimide and 1-hydroxybenzotriazole to afford resin (II). Subsequent cleavage of the Boc protecting group by means of trifluoroacetic acid provided the D-alanine-bound resin (III). Sequential coupling and deprotection cycles were carried out with the following protected amino acids: N-Boc-L-proline (IV), N-alpha-Boc-N6-isopropyl-N6-carbobenzoxy-L-lysine (VI) and N-Boc-L-leucine (VIII) to afford the respective peptide resins (V), (VII) and (IX). N-alpha-Boc-D-4-(Fmoc-amino)phenylalanine (X) was coupled to (IX), yielding resin (XI). Cleavage of the side-chain Fmoc protecting group with piperidine in DMF gave the aniline derivative (XII). After conversion to the corresponding urea by treatment with tert-butyl isocyanate, the Boc group was cleaved with trifluoroacetic acid to produce resin (XIII).

合成路线图解说明:

Further coupling with N-alpha-Boc-L-4-(Fmoc-amino)phenylalanine (XIV), followed by Fmoc deprotection with piperidine, furnished (XV). The aniline derivative (XV) was acylated with L-hydroorotic acid (XVI) to yield, after Boc group cleavage, resin (XVII). Coupling of (XVII) with N-Boc-L-serine(O-benzyl) (XVIII) and subsequent deprotection gave (XIX).

合成路线图解说明:

Peptide (XIX) was sequentially coupled with N-alpha-Boc-D-(3-pyridyl)alanine (XX) and N-Boc-D-(4-chlorophenyl)alanine (XXII) to furnish, after the corresponding deprotection cycles with TFA, the resins (XXI) and (XXIII), respectively.

合成路线图解说明:

The coupling of resin (XXIII) with N-Boc-D-(2-naphthyl)alanine (XXIV) as before gave, after the corresponding deprotection cycle with trifluoroacetic acid, resin (XXV). The peptide resin (XXV) was acetylated with Ac2O and finally deprotected and cleaved from the resin by treatment with HF to provide the target peptide.

合成路线图解说明:

Alternatively, after coupling of the peptide resin (XIII) with alpha-Boc-L-4-(Fmoc-amino)phenylalanine (XIV), the Fmoc protecting group was not removed, yielding resin (XXVI). Subsequent coupling cycles with amino acids (XVIII), (XX), (XXII) and (XXIV) as above finally produced resin (XXVII). The Fmoc group was then deprotected by treatment with piperidine, and the resulting aniline was acylated with L-hydroorotic acid (XVI) to provide resin (XXVIII), which was finally cleaved and deprotected by treatment with HF.

Drug Information Express,Drug R&D,Chemical Database,Patent Search.
Copyright © 2006-2026 Drug Future. All rights reserved.Contact Us