【药物名称】Pyrazidol, Pirlindole
化学结构式(Chemical Structure):
参考文献No.701389
标题:
作者:Mashkovskii, M.D.; et al.
来源:GB 1340528
合成路线图解说明:

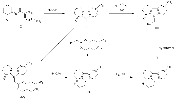
Compound can be prepared in two different ways: 1) The cyclization of 1,2-cyclohexanedione mono-p-tolylhydrazone (I) by means of formic acid in DMF gives 1,2,3,4-tetrahydro-6-methylcarbazole-1-one (II), which by condensation with chloroacetonitrile (A) by means of sodium ethoxide in dioxane is converted into 1,2,3,4-tetrahydro-6-methyl-9-cyanomethylcarbazole-1-one (III). Finally, this compound is submitted to a reductive cyclization with H2 over Raney-Ni in methanol at 30 atm. and 50 C. 2) The carbazolone (II) can also be condensed with 2-bromoacetaldehyde dibutylacetal (B) by means of sodium ethoxide to afford 1,2,3,4-tetrahydro-6-methyl-9-(beta,beta-dibutoxyethyl)carbazole-1-one (IV), which is cyclized with ammonium acetate in acetic acid yielding 1,2,5,6-tetrahydromethylpyrazino[3,2,1-j,k]-4H-carbazole (V). Finally, this compound is reduced with H2 over Pd/C.

参考文献No.800476
标题:New antidepressive preparation pyrozindole
作者:Mashkovskii, M.D.; et al.
来源:Khim Farm Zh 1974,8(3),60-63
合成路线图解说明:

Compound can be prepared in two different ways: 1) The cyclization of 1,2-cyclohexanedione mono-p-tolylhydrazone (I) by means of formic acid in DMF gives 1,2,3,4-tetrahydro-6-methylcarbazole-1-one (II), which by condensation with chloroacetonitrile (A) by means of sodium ethoxide in dioxane is converted into 1,2,3,4-tetrahydro-6-methyl-9-cyanomethylcarbazole-1-one (III). Finally, this compound is submitted to a reductive cyclization with H2 over Raney-Ni in methanol at 30 atm. and 50 C. 2) The carbazolone (II) can also be condensed with 2-bromoacetaldehyde dibutylacetal (B) by means of sodium ethoxide to afford 1,2,3,4-tetrahydro-6-methyl-9-(beta,beta-dibutoxyethyl)carbazole-1-one (IV), which is cyclized with ammonium acetate in acetic acid yielding 1,2,5,6-tetrahydromethylpyrazino[3,2,1-j,k]-4H-carbazole (V). Finally, this compound is reduced with H2 over Pd/C.

参考文献No.800477
标题:Synhtesis of 1,10-trimethylenepyrazino[1,2-a]indoles
作者:Shvedov, V.I.; et al.
来源:Khim Farm Zh 1967,1(3),25-30
合成路线图解说明:

Compound can be prepared in two different ways: 1) The cyclization of 1,2-cyclohexanedione mono-p-tolylhydrazone (I) by means of formic acid in DMF gives 1,2,3,4-tetrahydro-6-methylcarbazole-1-one (II), which by condensation with chloroacetonitrile (A) by means of sodium ethoxide in dioxane is converted into 1,2,3,4-tetrahydro-6-methyl-9-cyanomethylcarbazole-1-one (III). Finally, this compound is submitted to a reductive cyclization with H2 over Raney-Ni in methanol at 30 atm. and 50 C. 2) The carbazolone (II) can also be condensed with 2-bromoacetaldehyde dibutylacetal (B) by means of sodium ethoxide to afford 1,2,3,4-tetrahydro-6-methyl-9-(beta,beta-dibutoxyethyl)carbazole-1-one (IV), which is cyclized with ammonium acetate in acetic acid yielding 1,2,5,6-tetrahydromethylpyrazino[3,2,1-j,k]-4H-carbazole (V). Finally, this compound is reduced with H2 over Pd/C.

参考文献No.800478
标题:Pirlindole
作者:Blancafort, P.; Casta馿r, J.; Thorpe, P.J.; Serradell, M.N.
来源:Drugs Fut 1980,5(1),39
合成路线图解说明:

Compound can be prepared in two different ways: 1) The cyclization of 1,2-cyclohexanedione mono-p-tolylhydrazone (I) by means of formic acid in DMF gives 1,2,3,4-tetrahydro-6-methylcarbazole-1-one (II), which by condensation with chloroacetonitrile (A) by means of sodium ethoxide in dioxane is converted into 1,2,3,4-tetrahydro-6-methyl-9-cyanomethylcarbazole-1-one (III). Finally, this compound is submitted to a reductive cyclization with H2 over Raney-Ni in methanol at 30 atm. and 50 C. 2) The carbazolone (II) can also be condensed with 2-bromoacetaldehyde dibutylacetal (B) by means of sodium ethoxide to afford 1,2,3,4-tetrahydro-6-methyl-9-(beta,beta-dibutoxyethyl)carbazole-1-one (IV), which is cyclized with ammonium acetate in acetic acid yielding 1,2,5,6-tetrahydromethylpyrazino[3,2,1-j,k]-4H-carbazole (V). Finally, this compound is reduced with H2 over Pd/C.

Drug Information Express,Drug R&D,Chemical Database,Patent Search.
Copyright © 2006-2026 Drug Future. All rights reserved.Contact Us