【药物名称】
化学结构式(Chemical Structure):
参考文献No.39039
标题:Amines exhibiting analgesic action, their preparation and use
作者:Roncucci, G.; Giotti, A.; Adembri, G.; Fantetti, L.; Masini, I. (Molteni L. & C. SpA)
来源:WO 9633210
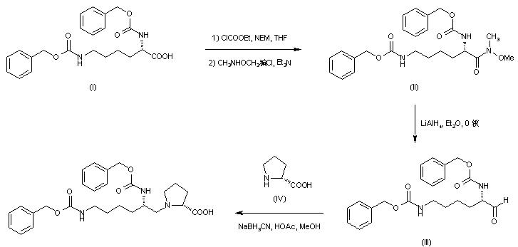
合成路线图解说明:

Treatment of N,N'-di-Cbz-lysine (I) with ethyl chloroformate and N-ethyl morpholine, followed by condensation of the resulting mixed anhydride with N,O-dimethylhydroxylamine provided the corresponding N-methoxyamide (II). This was reduced with LiAlH4 in cold Et2O to furnish aldehyde (III). The title compound was then obtained by reductive condensation of (III) with D-proline (IV) in the presence of NaBH3CN.

参考文献No.524581
标题:Synthesis and antinociceptive activity of some novel nonpeptide derivatives of interleukin-1beta (193-195) sequence
作者:Masini, I.; Fantetti, L.; Giotti, A.; Roncucci, G.; Adembri, G.
来源:Arzneim-Forsch Drug Res 1999,49(2),137
合成路线图解说明:

Treatment of N,N'-di-Cbz-lysine (I) with ethyl chloroformate and N-ethyl morpholine, followed by condensation of the resulting mixed anhydride with N,O-dimethylhydroxylamine provided the corresponding N-methoxyamide (II). This was reduced with LiAlH4 in cold Et2O to furnish aldehyde (III). The title compound was then obtained by reductive condensation of (III) with D-proline (IV) in the presence of NaBH3CN.

Drug Information Express,Drug R&D,Chemical Database,Patent Search.
Copyright © 2006-2026 Drug Future. All rights reserved.Contact Us