【药物名称】91-454
化学结构式(Chemical Structure):
参考文献No.524583
标题:Synthesis and antileishmanial activity of alpha-cyano ethyl propenoates - A new class of antileishmanials
作者:Tiwari, S.; et al.
来源:Arzneim-Forsch Drug Res 1999,49(2),144
合成路线图解说明:

By condensation of 3-methoxybenzaldehyde (I) with ethyl cyanoacetate (II) by means of NaOH in ethanol.

合成路线图解说明:

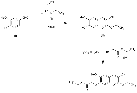
The condensation of 4-hydroxy-3-methoxybenzaldehyde (I) with ethyl cyanoacetate (II) by means of NaOH in ethanol gives the 2-cyanopropenoate (III), which is then alkylated at the OH group with ethyl 2-bromoacetate (IV) by means of K2CO3 and tetrabutylammonium bromide in THF.

Drug Information Express,Drug R&D,Chemical Database,Patent Search.
Copyright © 2006-2026 Drug Future. All rights reserved.Contact Us