【药物名称】
化学结构式(Chemical Structure):
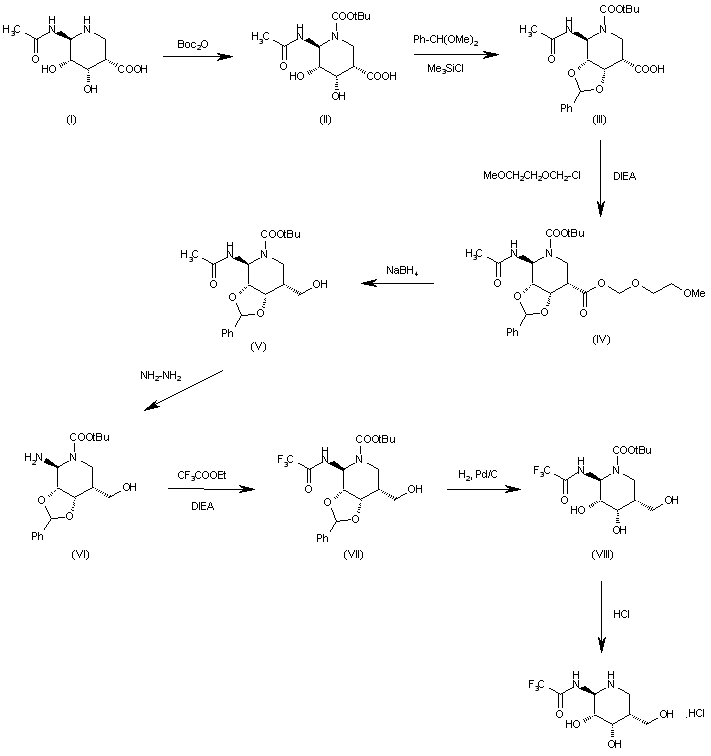
参考文献No.44136
标题:Siastatin B derivs. having glycosidase inhibitory activities and process for producing the same
作者:Takeuchi, T.; Nishimura, Y.; Shitara, E. (Meiji Seika Kaisha, Ltd.; Microbial Chemistry Research Foundation)
来源:EP 1142900; WO 0039140
合成路线图解说明:

The protection of the NH group of siastatin B (I) with tert-butoxycarbonyl anhydride gives the N-protected intermediate (II), which is treated with benzaldehyde diethyl acetal and trimethylchlorosilane yielding the benzylidene ketal (III). The esterification of (III) with chloromethyl(2-methoxyethyl)ether and DIEA in DMF affords the activated ester (IV), which is reduced with NaBH4 in trifluoroethanol/THF giving the carbinol (V). The deacetylation of (V) with hot hydrazine yields the 2-aminopiperidine (VI), which is treated with ethyl trifluoroacetate and DIEA in hot DMF to afford the trifluoroacetamide (VII). The debenzylation of the cyclic ketal of (VII) with H2 over Pd/C in methanol gives the protected intermediate (VIII), which is finally deprotected with 4N HCl in hot dioxane.

参考文献No.530568
标题:A facile synthesis of D-galactose-type gem-diamine 1-N-iminosugar: A new family of galactosidase inhibitor
作者:Shitara, E.; Nishimura, Y.; Kojima, F.; Takeuchi, T.
来源:J Antibiot 1999,52(3),348
合成路线图解说明:

The protection of the NH group of siastatin B (I) with tert-butoxycarbonyl anhydride gives the N-protected intermediate (II), which is treated with benzaldehyde diethyl acetal and trimethylchlorosilane yielding the benzylidene ketal (III). The esterification of (III) with chloromethyl(2-methoxyethyl)ether and DIEA in DMF affords the activated ester (IV), which is reduced with NaBH4 in trifluoroethanol/THF giving the carbinol (V). The deacetylation of (V) with hot hydrazine yields the 2-aminopiperidine (VI), which is treated with ethyl trifluoroacetate and DIEA in hot DMF to afford the trifluoroacetamide (VII). The debenzylation of the cyclic ketal of (VII) with H2 over Pd/C in methanol gives the protected intermediate (VIII), which is finally deprotected with 4N HCl in hot dioxane.

参考文献No.800109
标题:A practical synthesis from siastatin B of (3S,4S, 5R,6R)-4,5-dihydroxy-6-(trifluoroacetamido)piperidine-3-carboxylic acid having antimetastatic activity in mice
作者:Satoh, T.; et al.
来源:Carbohydr Res 1996,286173-178
合成路线图解说明:

The protection of the NH group of siastatin B (I) with tert-butoxycarbonyl anhydride gives the N-protected intermediate (II), which is treated with benzaldehyde diethyl acetal and trimethylchlorosilane yielding the benzylidene ketal (III). The esterification of (III) with chloromethyl(2-methoxyethyl)ether and DIEA in DMF affords the activated ester (IV), which is reduced with NaBH4 in trifluoroethanol/THF giving the carbinol (V). The deacetylation of (V) with hot hydrazine yields the 2-aminopiperidine (VI), which is treated with ethyl trifluoroacetate and DIEA in hot DMF to afford the trifluoroacetamide (VII). The debenzylation of the cyclic ketal of (VII) with H2 over Pd/C in methanol gives the protected intermediate (VIII), which is finally deprotected with 4N HCl in hot dioxane.

Drug Information Express,Drug R&D,Chemical Database,Patent Search.
Copyright © 2006-2026 Drug Future. All rights reserved.Contact Us