【药物名称】
化学结构式(Chemical Structure):
参考文献No.39038
标题:3-Alkyl-3-phenyl-piperidines
作者:Chen, M.H.G.; Lee, H.T.; Chung, F.-Z. (Pfizer Inc.)
来源:WO 9811090
合成路线图解说明:

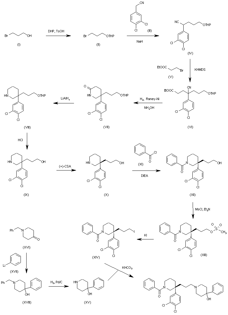
The protection of 3-bromo-1-propanol (I) with dihydropyran (DHP) and p-toluenesulfonic acid gives the tetrahydropyranyl ether (II), which is condensed with 3,4-dichlorophenylacetonitrile (III) by means of NaH in THF yielding the pentanenitrile (IV). The condensation of (IV) with ethyl 3-bromopropionate (V) by means of potassium hexamethyldisylazide (KHMDS) in THF affords the heptanoate (VI), which is reductocyclized with H2 over RaNi in ethanol/aq. NH4OH affording the piperidone (VII). The reduction of (VII) by means of LiAlH4 in THF gives the piperidine (VIII), which is deprotected with HCl in ethyl ether yielding the racemic propanol (IX). The optical resolution of (IX) by means of (+)-camphorsulfonic acid in isopropanol affords the desired enantiomer (X), which is acylated with benzoyl chloride (XI) and DIEA in dichloromethane providing the benzoylpiperidine (XII). The reaction of (XII) with methanesulfonyl chloride and triethylamine gives the mesylate (XIII), which is treated with KI in refluxing acetone to yield the 3-iodopropyl derivative (XIV). Finally, (XIV) is condensed with 4-hydroxy-4-phenylpiperidine (XV) by means of KHCO3 in hot acetonitrile. The intermediate 4-hydroxy-4-phenylpiperidine (XV) has been obtained as follows: The reaction of 1-benzyl-4-piperidone (XVI) with phenyllithium in THF gives 1-benzyl-4-hydroxy-4-phenylpiperidine (XVII), which is then debenzy-lated by hydrogenation with H2.

参考文献No.530987
标题:Syntheses and biological activities of chiral piperidines-tachykinin NK3 antagonists
作者:Kuo, B.-S.; Lee, H.T.; Roth, B.D.; Chung, F.-Z.; Atherton, J.; Chen, M.H.
来源:Acta Pharm Sin 1999,20(3),283
合成路线图解说明:

The protection of 3-bromo-1-propanol (I) with dihydropyran (DHP) and p-toluenesulfonic acid gives the tetrahydropyranyl ether (II), which is condensed with 3,4-dichlorophenylacetonitrile (III) by means of NaH in THF yielding the pentanenitrile (IV). The condensation of (IV) with ethyl 3-bromopropionate (V) by means of potassium hexamethyldisylazide (KHMDS) in THF affords the heptanoate (VI), which is reductocyclized with H2 over RaNi in ethanol/aq. NH4OH affording the piperidone (VII). The reduction of (VII) by means of LiAlH4 in THF gives the piperidine (VIII), which is deprotected with HCl in ethyl ether yielding the racemic propanol (IX). The optical resolution of (IX) by means of (+)-camphorsulfonic acid in isopropanol affords the desired enantiomer (X), which is acylated with benzoyl chloride (XI) and DIEA in dichloromethane providing the benzoylpiperidine (XII). The reaction of (XII) with methanesulfonyl chloride and triethylamine gives the mesylate (XIII), which is treated with KI in refluxing acetone to yield the 3-iodopropyl derivative (XIV). Finally, (XIV) is condensed with 4-hydroxy-4-phenylpiperidine (XV) by means of KHCO3 in hot acetonitrile. The intermediate 4-hydroxy-4-phenylpiperidine (XV) has been obtained as follows: The reaction of 1-benzyl-4-piperidone (XVI) with phenyllithium in THF gives 1-benzyl-4-hydroxy-4-phenylpiperidine (XVII), which is then debenzy-lated by hydrogenation with H2.

Drug Information Express,Drug R&D,Chemical Database,Patent Search.
Copyright © 2006-2026 Drug Future. All rights reserved.Contact Us