【药物名称】
化学结构式(Chemical Structure):
参考文献No.529519
标题:Structure-activity relationship of diaryl phosphonate esters as potent irreversible dipeptidyl peptidase IV inhibitors
作者:Belyaev, A.; Zhang, X.; Augustyns, K.; Lambeir, A.M.; De Meester, I.; Vedernikova, I.; Scharpe, S.; Haemers, A.
来源:J Med Chem 1999,42(6),1041
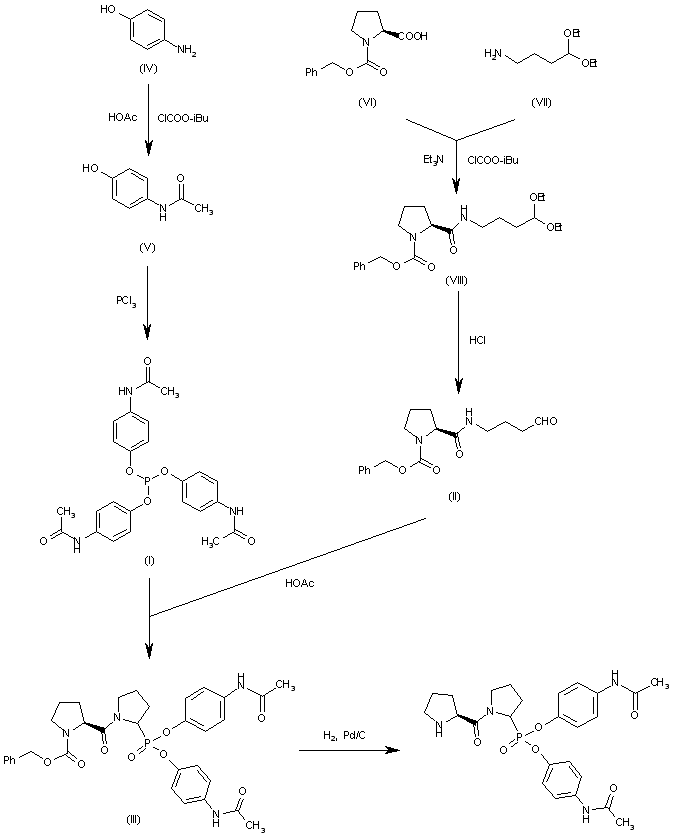
合成路线图解说明:

The cyclocondensation of triphenylphosphite (I) with 4-(benzyloxycarbonyl-L-prolylamino)butyraldehyde (II) in hot acetic acid gives the pyrrolidinylphosphonate (III), which is deprotected by hydrogenation with H2 over Pd/C in methanol. The intermediates (I) and (II) have been obtained as follows: Phosphite (I): The acylation of 4-aminophenol (IV) with acetic acid and isobutyl chloroformate in DMF gives N-(4-hydroxyphenyl)acetamide (V), which is allowed to react with PCl3 and triethylamine in DMF yielding phosphite (I). 4-(Benzyloxycarbonyl-L-prolylamino)butyraldehyde (II): The condensation of N-(benzyloxycarbonyl)-L-proline (VI) with 4-aminobutyraldehyde diethylacetal (VII) by means of isobutyl chloroformate and triethylamine in chloroform gives 4-[N-(benzyloxycarbonyl)-L-prolylamino]butyraldehyde diethylacetal (VIII), which is hydrolyzed to the target aldehyde (II) with HCl in THF.

Drug Information Express,Drug R&D,Chemical Database,Patent Search.
Copyright © 2006-2026 Drug Future. All rights reserved.Contact Us