【药物名称】
化学结构式(Chemical Structure):
参考文献No.39007
标题:Drug therapy
作者:Khan, T. (Aepact Ltd.)
来源:WO 9720580
合成路线图解说明:

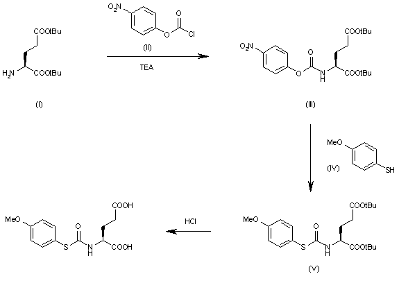
The reaction of L-glutamic acid di tert-butyl ester (I) with 4-nitrophenyl chloroformate (II) by means of triethylamine in dichloromethane gives the corresponding carbamate (III), which is treated with 4-methoxythiophenol (IV) in dichloromethane to afford the thiocarbamate (V). Finally, this compound is treated with HCl.

参考文献No.529514
标题:Novel inhibitors of carboxypeptidase G2 (CPG2): Potential use in antibody-directed enzyme prodrug therapy
作者:Khan, T.H.; Eno-Amooquaye, E.A.; Searle, F.; Browne, P.J.; Osborn, H.M.; Burke, P.J.
来源:J Med Chem 1999,42(6),951
合成路线图解说明:

The reaction of L-glutamic acid di tert-butyl ester (I) with 4-nitrophenyl chloroformate (II) by means of triethylamine in dichloromethane gives the corresponding carbamate (III), which is treated with 4-methoxythiophenol (IV) in dichloromethane to afford the thiocarbamate (V). Finally, this compound is treated with HCl.

Drug Information Express,Drug R&D,Chemical Database,Patent Search.
Copyright © 2006-2026 Drug Future. All rights reserved.Contact Us