【药物名称】Orpanoxin, F-776
化学结构式(Chemical Structure):
参考文献No.47595
标题:3-(5-aryl-2-furyl)-3-hydroxypropionic acids and ethyl esters
作者:Pelosi, S.S. Jr. (Norwich Eaton)
来源:DE 2637596; ES 448530; FR 2321286; GB 1479264; US 3962284
合成路线图解说明:

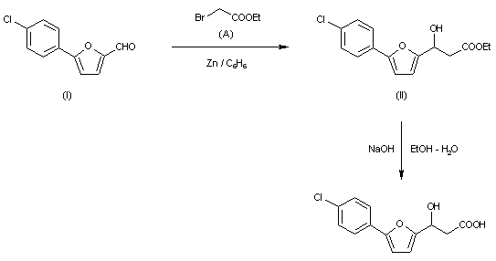
The condensation of 5-(4-chlorophenyl)-2-furaldehyde (I) with ethyl bromoacetate (A) by means of Zn in benzene gives ethyl 5-(4-chlorophenyl)-beta-hydroxy-2-furanpropanoate (II), which is then hydrolyzed with NaOH in refluxing aqueous ethanol.

参考文献No.800603
标题:Orpanoxin
作者:Casta馿r, J.; Blancafort, P.
来源:Drugs Fut 1978,3(12),888
合成路线图解说明:

The condensation of 5-(4-chlorophenyl)-2-furaldehyde (I) with ethyl bromoacetate (A) by means of Zn in benzene gives ethyl 5-(4-chlorophenyl)-beta-hydroxy-2-furanpropanoate (II), which is then hydrolyzed with NaOH in refluxing aqueous ethanol.

Drug Information Express,Drug R&D,Chemical Database,Patent Search.
Copyright © 2006-2026 Drug Future. All rights reserved.Contact Us