【药物名称】Tiopinac
化学结构式(Chemical Structure):
参考文献No.47840
标题:6,11-Dihydrodibenzothiepin-11-ones, compositions and uses thereof
作者:Ackrell, J. (Syntex (USA), Inc.)
来源:US 4000308
合成路线图解说明:

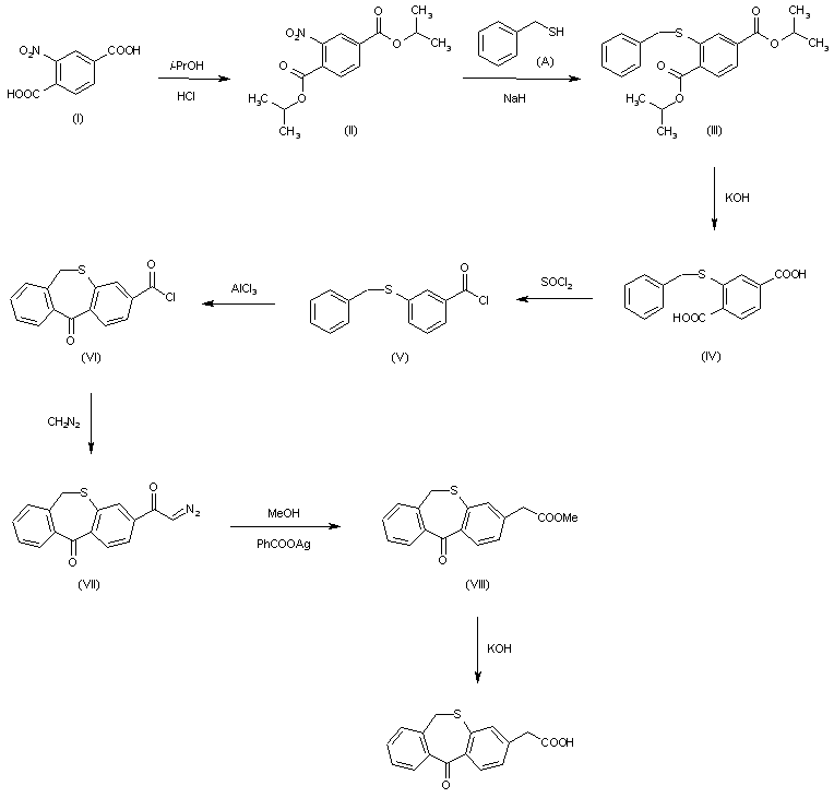
The esterification of 2-nitroterephthalic acid (I) with isopropanol by means of dry HCl gives the corresponding dusoproyl ester (II), which by reaction with benzylmercaptane by means of NaH in DMF yields diisopropyl 2-benzylthioterephthalate (III). This compound is hydrolyzed with KOH in refluxing methanol affording the correspon-ding acid (IV), which is converted into its diacid chloride (V) by treatment with refluxing SOCl2. The cyclization of (V) with AlCl3 in methylene chloride - nitromethane affords 6,11-dihydrodibenzo[b]thiepin-11-one-3-carbonyl chloride (VI), which is treated with diazomethane in ether - methylene chloride to yield the 3-diazoacetyl derivative (VII). The Arndt-Eister reaction of (VII) with silver benzoate in refluxing methanol affords methyl 6,11-dihydrodibenzo[b,e]thiepin-11-one-3-acetate (VIII), which is finally hydrolyzed with KOH in refluxing methanol.

参考文献No.800601
标题:Tiopinac
作者:Casta馿r, J.; Leeson, P.
来源:Drugs Fut 1978,3(12),896
合成路线图解说明:

The esterification of 2-nitroterephthalic acid (I) with isopropanol by means of dry HCl gives the corresponding dusoproyl ester (II), which by reaction with benzylmercaptane by means of NaH in DMF yields diisopropyl 2-benzylthioterephthalate (III). This compound is hydrolyzed with KOH in refluxing methanol affording the correspon-ding acid (IV), which is converted into its diacid chloride (V) by treatment with refluxing SOCl2. The cyclization of (V) with AlCl3 in methylene chloride - nitromethane affords 6,11-dihydrodibenzo[b]thiepin-11-one-3-carbonyl chloride (VI), which is treated with diazomethane in ether - methylene chloride to yield the 3-diazoacetyl derivative (VII). The Arndt-Eister reaction of (VII) with silver benzoate in refluxing methanol affords methyl 6,11-dihydrodibenzo[b,e]thiepin-11-one-3-acetate (VIII), which is finally hydrolyzed with KOH in refluxing methanol.

Drug Information Express,Drug R&D,Chemical Database,Patent Search.
Copyright © 2006-2026 Drug Future. All rights reserved.Contact Us