【药物名称】6,7-Dimethylesculetin, Scoparone
化学结构式(Chemical Structure):
参考文献No.701503
标题:
作者:DuH, S.B.; Parihar, D.B.
来源:Proc Ind Acad Sci 1947,106(19, Suppl. 2),153
合成路线图解说明:

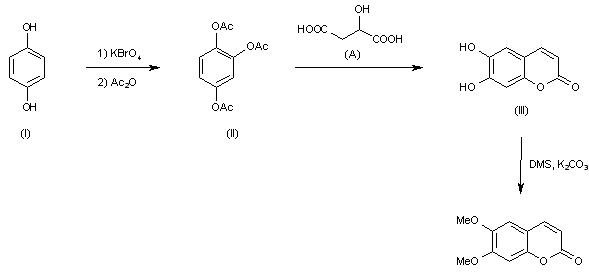
Hydroquinone (I) is converted to 1,2,4-triacetoxybenzene (II), which is condensed with malic acid (A) to afford 6,7-dihydroxycoumarin (aesculetin) (III). This is methylated with dimethyl sulfate in acetone to give Scoparone.

参考文献No.701504
标题:
作者:Singh, G.B.; et al.
来源:J Sci Ind Res 1956,15(19, Suppl. 2),190-193
合成路线图解说明:

Hydroquinone (I) is converted to 1,2,4-triacetoxybenzene (II), which is condensed with malic acid (A) to afford 6,7-dihydroxycoumarin (aesculetin) (III). This is methylated with dimethyl sulfate in acetone to give Scoparone.

参考文献No.701505
标题:
作者:Thakur, R.S.; et al.
来源:Res and Ind 1975,3(19, Suppl. 2),129-131
合成路线图解说明:

Hydroquinone (I) is converted to 1,2,4-triacetoxybenzene (II), which is condensed with malic acid (A) to afford 6,7-dihydroxycoumarin (aesculetin) (III). This is methylated with dimethyl sulfate in acetone to give Scoparone.

参考文献No.701506
标题:
作者:Stefanovic, M.; et al.
来源:Phytochem 1973,12(19, Suppl. 2),2996
合成路线图解说明:

Hydroquinone (I) is converted to 1,2,4-triacetoxybenzene (II), which is condensed with malic acid (A) to afford 6,7-dihydroxycoumarin (aesculetin) (III). This is methylated with dimethyl sulfate in acetone to give Scoparone.

参考文献No.701507
标题:
作者:King, F.E.; et al.
来源:J Chem Soc 1954,106(19, Suppl. 2),1392-99
合成路线图解说明:

Hydroquinone (I) is converted to 1,2,4-triacetoxybenzene (II), which is condensed with malic acid (A) to afford 6,7-dihydroxycoumarin (aesculetin) (III). This is methylated with dimethyl sulfate in acetone to give Scoparone.

参考文献No.800593
标题:Scoparone
作者:Arya, V.P.
来源:Drugs Fut 1978,3(7),550
合成路线图解说明:

Hydroquinone (I) is converted to 1,2,4-triacetoxybenzene (II), which is condensed with malic acid (A) to afford 6,7-dihydroxycoumarin (aesculetin) (III). This is methylated with dimethyl sulfate in acetone to give Scoparone.

Drug Information Express,Drug R&D,Chemical Database,Patent Search.
Copyright © 2006-2026 Drug Future. All rights reserved.Contact Us