【药物名称】TMC-95A
化学结构式(Chemical Structure):
参考文献No.658347
标题:The total synthesis of proteasome inhibitors TMC-95A and TMC-95B: Discovery of a new method to generate cis-propenyl amides
作者:Lin, S.N.; Danishefsky, S.J.
来源:Angew Chem. Int Ed Engl 2002,41(3),512
合成路线图解说明:

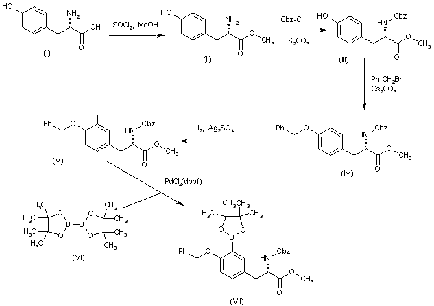
The borinated tyrosine intermediate (VII) has been obtained as follows: The esterification of L-tyrosine (I) with SOCl2 and methanol gives the methyl ester (II), which is N-protected with Cbz-Cl and K2CO3 to yield the carbamate (III). The O-protection of (III) with benzyl bromide and Cs2CO3 affords the benzyl ether (IV), which is iodinated with I2 and Ag2SO4 to provide the 3-iodotyrosine derivative (V). Finally, the borylation of (V) by means of pinacolatodiborane (VI) catalyzed by PdCl2[bis(diphenylphosphanyl)ferrocene] (PdCl2(dppf)) gives rise to the target tyrosine intermediate (VII).

合成路线图解说明:

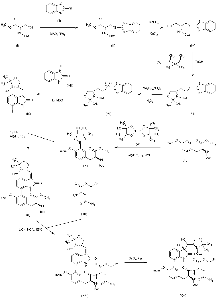
The crossed aldol condensation of 7-iodo-2,3-dihydro-1H-indol-2-one (VIII) with the chiral oxazolidine-carbaldehyde (IX) by means of LDA in THF gives a mixture of (Z)-(X) and (E)-(XI) isomers, which is isomerized to the desired (E)-(XI) compound by treatment with I2 . The condensation of (XI) with the borinated tyrosine intermediate (VII) catalyzed with PdCl2(dppf)2 yields the diaryl compound (XII), whose ester group is hydrolyzed with LiOH in THF/water to afford the carboxylic acid (XIII). The condensation of (XIII) with L-asparagine tert-butyl ester (XIV) by means of EDC and 1-hydroxy-7-azabenzotriazole (HOAt) in THF provides adduct (XV), which is oxidized with OsO4, NMO and 1,4-bis(9-O-dihydroquinidinine)phthalazine ((DHOD)2PHAL) in tert-butanol/water to give the glycol (XVI). The cleavage of the oxazolidine ring of (XVI) by means of pyridinium p-toluenesulfonate (PPTS) yields the trihydroxy compound (XVII).

合成路线图解说明:

The selective protection of the primary OH group of (XVII) with Tips-Cl and imidazole yields the silyl ether (XVIII), which is treated with TFA in dichloromethane to afford the carboxylic acid (XIX). The macrolactamization of (XIX) by means of EDC, HOAt and DIEA in DMF/dichloromethane provides the macrolactam (XX), which is debenzylated by hydrogenation with H2 over Pd/C in ethanol to furnish the aminophenol (XXI). The condensation of (XXI) with racemic 3-methyl-2-oxopentanoic acid (XXII) by means of EDC and HOAt in DMF/dichloromethane gives the amide (XXIII) as a diastereomeric mixture. The desilylation of (XXIII) by means of HF and pyridine gives the tetrahydroxy compound (XXIV), which is fully resilylated with Tes-OTf and lutidine in dichloromethane to yield the tetra-silyl ether (XXV).

合成路线图解说明:

The oxidation of the primary silyl ether of (XXV) with the Jones reagent gives a mixture of the carboxylic acid derivatives (XXVI) and (XXVII), which is condensed with the silylated amine (XVIII) by means of EDC and HOAT in DMF/dichloromethane to yield a mixture of the corresponding amides (XXIX) and (XXX). The rearrangement of the mixture (XXIX) + (XXX) in refluxing o-xylene affords provided a mixture of the (E)-propenylamides (XXXI) and (XXXII), which is desilylated by means of HF and pyridine in THF to give compound (XXXIII) as a diastereomeric mixture that is separated by RP-HPLC to afford the target TMC-95A.

合成路线图解说明:

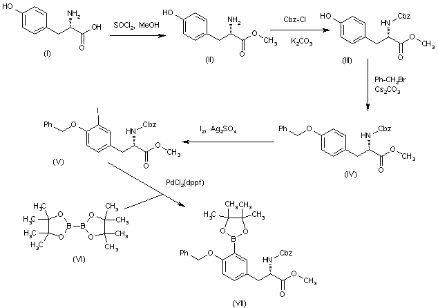
The borinated tyrosine intermediate (VII) has been obtained as follows: The esterification of L-tyrosine (I) with SOCl2 and methanol gives the methyl ester (II), which is N-protected with Cbz-Cl and K2CO3 to yield the carbamate (III). The O-protection of (III) with benzyl bromide and Cs2CO3 affords the benzyl ether (IV), which is iodinated with I2 and Ag2SO4 to provide the 3-iodotyrosine derivative (V). Finally, the borylation of (V) by means of pinacolatodiborane (VI) catalyzed by PdCl2[bis(diphenylphosphanyl)ferrocene] (PdCl2(dppf)) gives rise to the target tyrosine intermediate (VII).

合成路线图解说明:

The crossed aldol condensation of 7-iodo-2,3-dihydro-1H-indol-2-one (VIII) with the chiral oxazolidine-carbaldehyde (IX) by means of LDA in THF gives a mixture of (Z)-(X) and (E)-(XI) isomers, which is isomerized to the desired (E)-(XI) compound by treatment with I2 . The condensation of (XI) with the borinated tyrosine intermediate (VII) catalyzed with PdCl2(dppf)2 yields the diaryl compound (XII), whose ester group is hydrolyzed with LiOH in THF/water to afford the carboxylic acid (XIII). The condensation of (XIII) with L-asparagine tert-butyl ester (XIV) by means of EDC and 1-hydroxy-7-azabenzotriazole (HOAt) in THF provides adduct (XV), which is oxidized with OsO4, NMO and 1,4-bis(9-O-dihydroquinidinine)phthalazine ((DHOD)2PHAL) in tert-butanol/water to give the glycol (XVI). The cleavage of the oxazolidine ring of (XVI) by means of pyridinium p-toluenesulfonate (PPTS) yields the trihydroxy compound (XVII).

合成路线图解说明:

The selective protection of the primary OH group of (XVII) with Tips-Cl and imidazole yields the silyl ether (XVIII), which is treated with TFA in dichloromethane to afford the carboxylic acid (XIX). The macrolactamization of (XIX) by means of EDC, HOAt and DIEA in DMF/dichloromethane provides the macrolactam (XX), which is debenzylated by hydrogenation with H2 over Pd/C in ethanol to furnish the aminophenol (XXI). The condensation of (XXI) with racemic 3-methyl-2-oxopentanoic acid (XXII) by means of EDC and HOAt in DMF/dichloromethane gives the amide (XXIII) as a diastereomeric mixture. The desilylation of (XXIII) by means of HF and pyridine gives the tetrahydroxy compound (XXIV), which is fully resilylated with Tes-OTf and lutidine in dichloromethane to yield the tetra-silyl ether (XXV).

合成路线图解说明:

The oxidation of the primary silyl ether of (XXV) with the Jones reagent gives a mixture of the carboxylic acid derivatives (XXVI) and (XXVII). This mixture is condensed with the silylated amine (XXVIII) by means of EDC and HOAt in DMF/dichloromethane to yield a mixture of the corresponding amides (XXIX) and (XXX). The rearrangement of the mixture (XXIX) + (XXX) in refluxing o-xylene affords provided a mixture of the (E)-propenylamides (XXXI) and (XXXII), which is desilylated by means of HF and pyridine in THF to give compound (XXXIII) as a diastereomeric mixture that is separated by RP-HPLC to afford the target TMC-95B.

参考文献No.716464
标题:A concise formal total synthesis of TMC-95A/B proteasome inhibitors
作者:Albrecht, B.K.; Williams, R.M.
来源:Org Lett 2003,5(2),197
合成路线图解说明:

The reaction of N-(benzyloxycarbonyl)-L-serine methyl ester (I) with 2-mercaptobenzothiazole (II) by means of DIAD and PPh3 in THF gives the thioether (III), which is reduced with NaBH4 and CaCl2 in THF to yield the alcohol (IV). The cyclization of (IV) with 2,2-dimethoxypropane (V) by means of TsOH in dichloromethane affords the oxazolidine (VI), which is oxidized at the thioether group by means of Mo7O24(NH4)6 and H2O2 in ethanol to provide the sulfone (VII). The condensation of (VII) with 7-iodoisatin (VIII) employing LiHMDS and DMPU in THF gives the adduct (IX), which is condensed with the boronic ester (X) -obtained by reaction of the tyrosine derivative (XI) with bis(pinacolato)diboron, KOH and Pd(dppf)Cl2 in hot DMSO- by means of K2CO3 and Pd(dppf)Cl2 in aqueous DME to yield the coupled product (XII). The hydrolysis of the ester group of (XII) with LiOH, followed by condensation with asparagine benzyl ester (XIII) by means of HOAT, EDC and NMM in dichloromethane affords the amide (XIV). This is oxidized at its exocyclic double bond by means of OsO4 and pyridine in THF/methanol to provide the diol (XV).

合成路线图解说明:

The reaction of (XV) with TFA promotes the cleavage of the oxazolidine ring and the Boc and Mom protecting groups yielding the amino tetrahydroxy derivative (XVI), which is condensed with 3-methyl-2-oxopentanoic acid (XVII) by means of HOAt and EDC in THF to afford the corresponding amide (XVIII). The hydrogenolysis of (XVIII) with H2 over Pd/C in ethanol promotes the cleavage of the benzyloxy and benzyloxycarbonyl groups which provides the requisite aminoacid (XIX), suitable for macrocyclization. This is performed by means of EDC and HOAt in DMF/dichloromethane to provide the macrocyclic compound (XX). Finally, this compound is treated with Tes-OTf and lutidine in DMF/dichloromethane to obtain the fully silylated, already reported, macrocyclic intermediate (XXI). (see Scheme nos. 27460201c and 27460201d, intermediate (XXV).

Drug Information Express,Drug R&D,Chemical Database,Patent Search.
Copyright © 2006-2026 Drug Future. All rights reserved.Contact Us