【药物名称】NU-2058
化学结构式(Chemical Structure):
参考文献No.39102
标题:Cyclin dependent kinase inhibiting purine derivs.
作者:Boyle, F.T.; Curtin, N.J.; Calvert, A.H.; Jewsbury, P.J.; Endicott, J.A.; Noble, M.E.M.; Griffin, R.J.; Golding, B.T.; Newell, D.R. (University of Newcastle upon Tyne)
来源:EP 1017394; WO 9902162
合成路线图解说明:

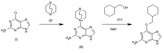
The reaction of 2-amino-6-chloropurine (I) with 1,4-diazabicyclo[2.2.2]octane (II) in DMSO gives 1-(2-aminopurin-6-yl)-4-aza-1-azoniabicyclo[2.2.2]octane chloride (II), which is condensed with cyclohexylmethanol (III) by means of NaH in DMSO.

参考文献No.553359
标题:Facilitation of displacements at the 6-position of purines by the use of 1,4-diazabicyclo[2.2.2]octane as leaving group
作者:Lembicz, N.K.; et al.
来源:J Chem Soc - Perkins Trans I 1997,(3),185
合成路线图解说明:

The reaction of 2-amino-6-chloropurine (I) with 1,4-diazabicyclo[2.2.2]octane (II) in DMSO gives 1-(2-aminopurin-6-yl)-4-aza-1-azoniabicyclo[2.2.2]octane chloride (II), which is condensed with cyclohexylmethanol (III) by means of NaH in DMSO.

参考文献No.588138
标题:Identification of novel purine and pyrimidine cyclin-dependent kinase inhibitors with distinct molecular interactions and tumor cell growth inhibition profiles
作者:Arris, C.E.; Boyle, F.T.; Calvert, A.H.; Curtin, N.J.; Endicott, J.A.; Garman, E.F.; Gibson, A.E.; Golding, B.T.; Grant, S.; Griffin, R.J.; Jewsbury, P.; Johnson, L.N.; Lawrie, A.M.; Newell, D.R.; Noble, M.E.; Sausville, E.A.; Schultz, R.M.; Yu, W.
来源:J Med Chem 2000,43(15),2797
合成路线图解说明:

The reaction of 2-amino-6-chloropurine (I) with 1,4-diazabicyclo[2.2.2]octane (II) in DMSO gives 1-(2-aminopurin-6-yl)-4-aza-1-azoniabicyclo[2.2.2]octane chloride (II), which is condensed with cyclohexylmethanol (III) by means of NaH in DMSO.

Drug Information Express,Drug R&D,Chemical Database,Patent Search.
Copyright © 2006-2026 Drug Future. All rights reserved.Contact Us