【药物名称】NSC-708298, DB-67
化学结构式(Chemical Structure):
参考文献No.38634
标题:Camptothecin analogs and methods of preparation thereof
作者:Bom, D.; Curran, D.P.; Josien, H. (University of Pittsburgh)
来源:EP 1017399; JP 2001513567; US 6150343; WO 9909996
合成路线图解说明:

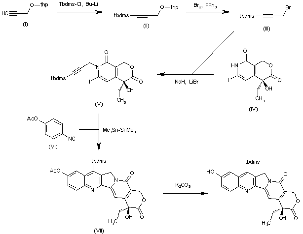
The reaction of the propargyl tetrahydropyranyl ether (I) with TBDMS-Cl and BuLi in THF gives the silylated acetylene (II), which is treated with Br2 and PPh3 to yield the silylated propargyl bromide (III). The reaction of (III) with the pyranopyridone (IV) by means of NaH and LiBr in DMF/DME affords the alkylated pyranopyridone (V), which is cyclized with 4-acetoxyphenyl isocyanide (VI) by means of hexamethyldistannane in refluxing benzene to provide the silylated acetoxycamptothecin (VII). Finally, this compound is deacetylated with K2CO3 in methanol.

参考文献No.46615
标题:Camptothecin analogs and methods of preparation thereof
作者:Bom, D.; Curran, D.P.; Josien, H.; Burke, T.G. (University of Pittsburgh)
来源:WO 0035924
合成路线图解说明:

The reaction of the propargyl tetrahydropyranyl ether (I) with TBDMS-Cl and BuLi in THF gives the silylated acetylene (II), which is treated with Br2 and PPh3 to yield the silylated propargyl bromide (III). The reaction of (III) with the pyranopyridone (IV) by means of NaH and LiBr in DMF/DME affords the alkylated pyranopyridone (V), which is cyclized with 4-acetoxyphenyl isocyanide (VI) by means of hexamethyldistannane in refluxing benzene to provide the silylated acetoxycamptothecin (VII). Finally, this compound is deacetylated with K2CO3 in methanol.

参考文献No.595248
标题:The novel silatecan 7-tert-butyldimethylsilyl-10-hydroxycamptothecin displays high lipophilicity, improved human blood stability, and potent anticancer activity
作者:Bom, D.; Curran, D.P.; Kruszewski, S.; Zimmer, S.G.; Thompson Strode, J.; Kohlhagen, G.; Du, W.; Chavan, A.J.; Fraley, K.A.; Bingcang, A.L.; Latus, L.J.; Pommier, Y.; Burke, T.G.
来源:J Med Chem 2000,43(21),3970
合成路线图解说明:

The reaction of the propargyl tetrahydropyranyl ether (I) with TBDMS-Cl and BuLi in THF gives the silylated acetylene (II), which is treated with Br2 and PPh3 to yield the silylated propargyl bromide (III). The reaction of (III) with the pyranopyridone (IV) by means of NaH and LiBr in DMF/DME affords the alkylated pyranopyridone (V), which is cyclized with 4-acetoxyphenyl isocyanide (VI) by means of hexamethyldistannane in refluxing benzene to provide the silylated acetoxycamptothecin (VII). Finally, this compound is deacetylated with K2CO3 in methanol.

参考文献No.716481
标题:Semisynthesis of DB-67 and other silatecans from camptothecin by thiol-promoted addition of silyl radicals
作者:Du, W.; Kaskar, B.; Blumbergs, P.; Subramanian, P.-K.; Curran, D.P.
来源:Bioo. & Med. Chem. 2003,11(39),451
合成路线图解说明:

The reaction of camptothecin (I) with Tbdms-H, (t-BuO)2 and t-BuSH in refluxing dioxane gives the 7-silylcamptothecin (II), which is treated with H2O2 in hot AcOH to give the N-oxide (III). Finally, this compound is isomerized by photolysis in dioxane/H2SO4 to afford the target silylated 10-hydroxycamptothecin.

合成路线图解说明:

The reaction of 10-hydroxycamptothecin (IV) with Ac2O and pyridine gives the diacetate (V), which is silylated with Tbdms-H, (t-BuO)2 and Tis-SH in refluxing dioxane/TFA to give the silylated diacetate (VI). Finally, this compound is deacetylated by reaction with NaOMe in methanol or HCl in ethanol to afford the target silylated 10-hydroxycamptothecin.

Drug Information Express,Drug R&D,Chemical Database,Patent Search.
Copyright © 2006-2026 Drug Future. All rights reserved.Contact Us