【药物名称】MLN-944, XR-5944
化学结构式(Chemical Structure):
参考文献No.36419
标题:Bis(acridinecarboxamide) and bis(phenazinecarboxamide) as antitumour agents
作者:Denny, W.A.; Gamage, S.A.; Spicer, J.A.; Baguley, B.C.; Finlay, G.J. (Xenova Group plc)
来源:EP 0934278; GB 2334032; WO 9817650
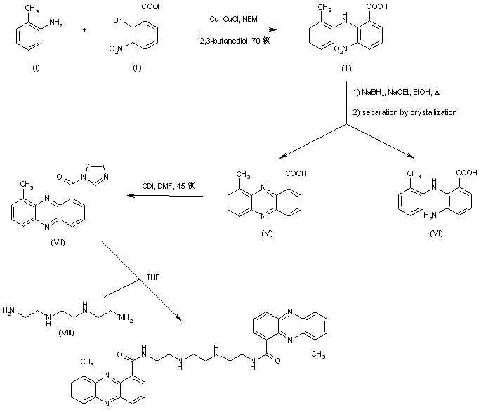
合成路线图解说明:

Copper-catalyzed coupling of o-toluidine (I) with 2-bromo-3-nitrobenzoic acid (II) gave the N-aryl-3-nitroanthranilic acid (III). Reductive cyclization with NaBH4 in the presence NaOEt produced the desired phenazine (V) along with amino anthranilic acid (VI), which were separated by fractional crystallization. Carboxylic acid (V) was then activated as the imidazolide (VI) upon treatment with carbonyl diimidazole. Finally, coupling of triethylenetetramine (VII) with two equivalents of imidazolide (VI) produced the title diamide.

参考文献No.587699
标题:Potential antitumor agents. 51. Synthesis and antitumor activity of substituted phenazine-1-carboxamides
作者:Rewcastle, G.W.; Denny, W.A.; Baguley, B.C.
来源:J Med Chem 1987,30(5),843
合成路线图解说明:

Copper-catalyzed coupling of o-toluidine (I) with 2-bromo-3-nitrobenzoic acid (II) gave the N-aryl-3-nitroanthranilic acid (III). Reductive cyclization with NaBH4 in the presence NaOEt produced the desired phenazine (V) along with amino anthranilic acid (VI), which were separated by fractional crystallization. Carboxylic acid (V) was then activated as the imidazolide (VI) upon treatment with carbonyl diimidazole. Finally, coupling of triethylenetetramine (VII) with two equivalents of imidazolide (VI) produced the title diamide.

Drug Information Express,Drug R&D,Chemical Database,Patent Search.
Copyright © 2006-2026 Drug Future. All rights reserved.Contact Us