【药物名称】R-116010
化学结构式(Chemical Structure):
参考文献No.35382
标题:N-[4-(heteroarylmethyl)phenyl]-heteroarylamines
作者:Venet, M.G.; Mabire, D.J.-P.; Lacrampe, J.F.A.; Sanz, G.C. (Janssen Pharmaceutica NV)
来源:EP 0907650; JP 2000503670; US 6124330; WO 9749704
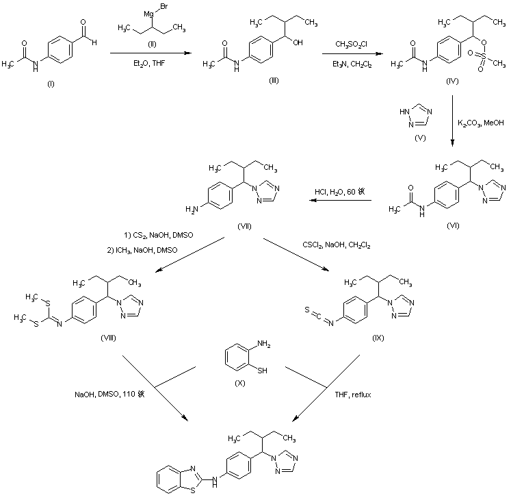
合成路线图解说明:

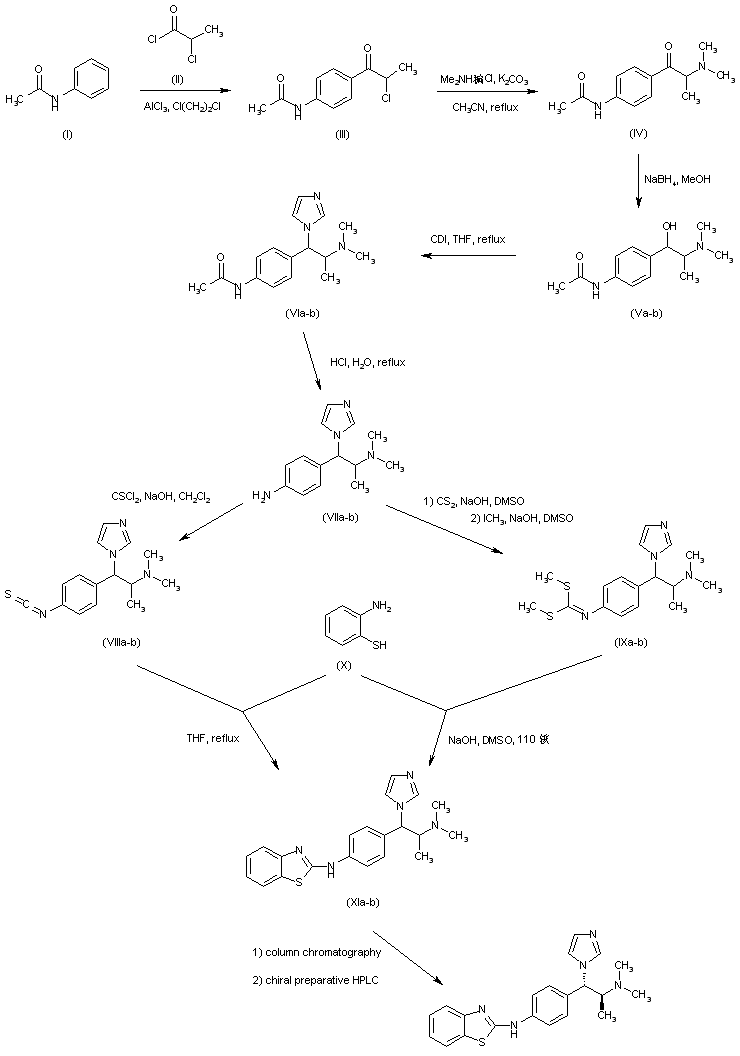
Addition of Grignard reagent (II) to N-(4-formylphenyl)acetamide (I) produced carbinol (III). After conversion of (III) to mesylate (IV), displacement with 1,2,4-triazole (V) afforded triazolyl derivative (VI). Acid hydrolysis of the acetamido group of (VI) furnished aniline (VII). Treatment of aniline (VII) with carbon disulfide and NaOH, followed by methylation with iodomethane, gave the bis(methylthio)methylene derivative (VIII). Alternatively, aniline (VII) was converted to isothiocyanate (IX) by reaction with thiophosgene. The title benzothiazole was finally obtained by condensation of 2-aminobenzenethiol (X) with either (VIII) or (IX).

合成路线图解说明:

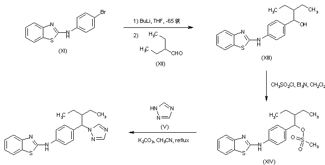
In a different procedure, N-(4-bromophenyl)-2-benzothiazolamine (XI) was converted into the lithio derivative and subsequently condensed with 2-ethylbutanal (XII) to give carbinol (XIII). Treatment of (XIII) with methanesulfonyl chloride and triethylamine provided mesylate (XIV), which was finally displaced by 1,2,4-triazole (V), yielding the title compound.

合成路线图解说明:

Friedel-Crafts acylation of acetanilide (I) with 2-chloropropionyl chloride (II) in the presence of AlCl3 provided ketone (III). The chlorine atom of (III) was then displaced with dimethylamine to afford amino ketone (IV), which was reduced to alcohol (V) using NaBH4 in MeOH. Treatment of alcohol (V) with carbonyl diimidazole furnished the imidazolyl derivative (VI). The acetamido group of (VI) was then hydrolyzed with 3N HCl to give aniline (VII). This compound was converted to isothiocyanate (VIII) by treatment with thiophosgene and NaOH. Alternatively, aniline (VII) was treated with carbon disulfide and NaOH and then with iodomethane to give the bis(methylthio)methyleneamino derivative (IX). The condensation of either (VIII) or (IX) with 2-aminothiophenol (X) produced the target benzothiazole (XI) as a mixture of isomers. Then, separation of the diastereoisomers by column chromatography, followed by resolution by chiral HPLC, furnished the title (S,S)-isomer.

参考文献No.594158
标题:Synthesis of R116010, a retinoic acid (RA) metabolism inhibitor with antitumoral effects
作者:Venet, M.; Van Wauwe, J.; Mabire, D.; Sanz, G.; Poignet, H.; Wouters, J.
来源:16th Int Symp Med Chem (Sept 18 2000, Bologna) 2000,Abst PC-60
合成路线图解说明:

Friedel-Crafts acylation of acetanilide (I) with 2-chloropropionyl chloride (II) in the presence of AlCl3 provided ketone (III). The chlorine atom of (III) was then displaced with dimethylamine to afford amino ketone (IV), which was reduced to alcohol (V) using NaBH4 in MeOH. Treatment of alcohol (V) with carbonyl diimidazole furnished the imidazolyl derivative (VI). The acetamido group of (VI) was then hydrolyzed with 3N HCl to give aniline (VII). This compound was converted to isothiocyanate (VIII) by treatment with thiophosgene and NaOH. Alternatively, aniline (VII) was treated with carbon disulfide and NaOH and then with iodomethane to give the bis(methylthio)methyleneamino derivative (IX). The condensation of either (VIII) or (IX) with 2-aminothiophenol (X) produced the target benzothiazole (XI) as a mixture of isomers. Then, separation of the diastereoisomers by column chromatography, followed by resolution by chiral HPLC, furnished the title (S,S)-isomer.

合成路线图解说明:

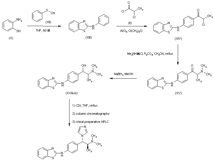
In an alternative procedure, 2-aminothiophenol (X) was condensed with phenyl isothiocyanate (XII) to produce N-phenyl-2-aminobenzothiazole (XIII). Subsequent Friedel-Crafts acylation of (XIII) with acid chloride (II) gave chloro ketone (XIV), which was converted to amino ketone (XV) upon treatment with dimethylamine. After ketone (XV) reduction with NaBH4, the resulting amino alcohol (XVI) was treated with carbonyl diimidazole, and the mixture of isomers was chromatographically separated as above.

参考文献No.659650
标题:Conversion of the laboratory synthetic route of the N-aryl-2-benzothiazolamine R116010 to a manufacturing method
作者:Aelterman, W.; et al.
来源:Org Process Res Dev 2001,5(5),467
合成路线图解说明:

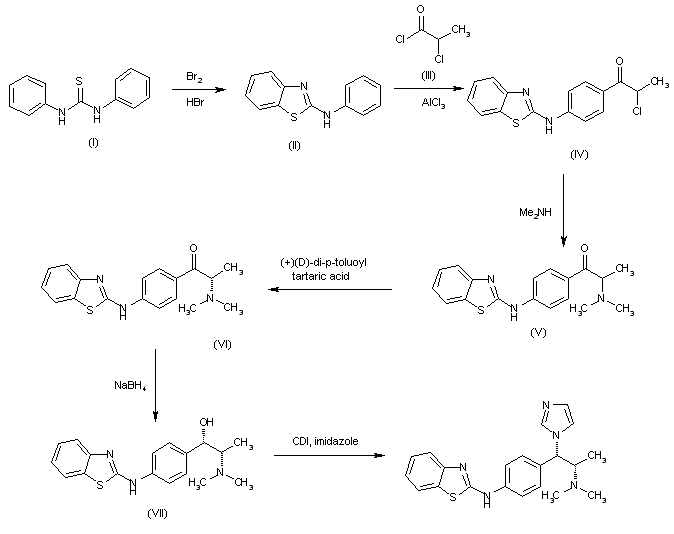
The cyclization of 1,3-diphenylthiourea (I) with Br2 and HBr in water gives N-(benzothiazol-2-yl)-N-phenylamine (II), which is condensed with 2-chloropropionyl chloride (III) by means of AlCl3 in dichloromethane to yield the propiophenone (IV). The reaction of (IV) with dimethylamine in isopropanol affords the racemic alpha-(dimethylamino) propiophenone (V), which is optically resolved by means of (+)(D)-di-p-toluoyltartaric acid providing the (S)-enantiomer (VI) with a 80% ee. The reduction of (VI) with NaBH4 and NaOH in isopropanol gives the (S,S)-enantiomer (VII) with a 85% ee. Finally, this compound is condensed with CDI and imidazole to afford the target compound that is purified by crystallization in ethyl acetate up to a 99% ee.

Drug Information Express,Drug R&D,Chemical Database,Patent Search.
Copyright © 2006-2026 Drug Future. All rights reserved.Contact Us