【药物名称】NU-1085
化学结构式(Chemical Structure):
参考文献No.44534
标题:Benzimidazole cpds.
作者:Griffin, R.J.; Calvert, A.H.; Newell, D.R.; Curtain, J.N.; Golding, B.T. (University of Newcastle upon Tyne)
来源:US 6100283
合成路线图解说明:

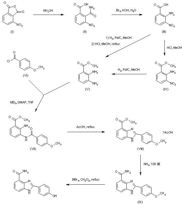
Regioselective ring opening of 3-nitrophthalic anhydride (I) with ammonia yielded amide (II), which was subjected to a Hofmann degradation with Br2 and KOH to afford 3-nitroanthranilic acid (III). Esterification of (III) to ster (IV) using MeOH/HCl, followed by reduction of the nitro group by catalytic hydrogenation, gave methyl 2,3-diaminobenzoate (V). Alternatively, diamino ester (V) was prepared by reduction of nitro acid (III), followed by catalytic esterification. Methyl 2,3-diaminobenzoate (V) was then selectively acylated at the 3-amino group with 4-methoxybenzoyl chloride (VI) producing amide (VII), which was cyclized to the benzimidazole (VIII) upon refluxing in HOAc. The corresponding amide (IX) was obtained by reaction of ester (VIII) with liquid ammonia at 100 C in a pressure vessel. Finally, the methyl ether group of (IX) was cleaved to the title phenol by treatment with boron tribromide.

参考文献No.591601
标题:Pharmacological actions of a novel, high-affinity, and selective human dopamine D3 receptor antagonist, SB-277011-A
作者:Reavill, C.; Taylor, S.G.; Wood, M.D.; Ashmeade, T.; Austin, N.E.; Avenell, K.Y.; Boyfield, I.; Branch, C.L.; Cilia, J.; Coldwell, M.C.; Hadley, M.S.; Hunter, A.J.; Jeffrey, P.; Jewitt, F.; Johnson, C.N.; Jones, D.N.; Medhurst, A.D.; et al.
来源:J Pharmacol Exp Ther 2000,294(3),1154
合成路线图解说明:

Regioselective ring opening of 3-nitrophthalic anhydride (I) with ammonia yielded amide (II), which was subjected to a Hofmann degradation with Br2 and KOH to afford 3-nitroanthranilic acid (III). Esterification of (III) to ster (IV) using MeOH/HCl, followed by reduction of the nitro group by catalytic hydrogenation, gave methyl 2,3-diaminobenzoate (V). Alternatively, diamino ester (V) was prepared by reduction of nitro acid (III), followed by catalytic esterification. Methyl 2,3-diaminobenzoate (V) was then selectively acylated at the 3-amino group with 4-methoxybenzoyl chloride (VI) producing amide (VII), which was cyclized to the benzimidazole (VIII) upon refluxing in HOAc. The corresponding amide (IX) was obtained by reaction of ester (VIII) with liquid ammonia at 100 C in a pressure vessel. Finally, the methyl ether group of (IX) was cleaved to the title phenol by treatment with boron tribromide.

Drug Information Express,Drug R&D,Chemical Database,Patent Search.
Copyright © 2006-2026 Drug Future. All rights reserved.Contact Us