【药物名称】PMT-13
化学结构式(Chemical Structure):
参考文献No.38760
标题:Heterocyclic cpds., process for their preparation and pharmaceutical compsns. containing them and their use in the treatment of diabetes and related diseases
作者:Lohray, V.B.; Lohray, B.B.; Ramanujam, R.; Chakrabarti, R.; Gurram, R.M.; Paraselli, R.B.; Pakala, S.K.S. (Dr. Reddy's Research Foundation)
来源:EP 0958296; US 5885997; US 5985884; US 6372750; US 6573268; WO 9741097
合成路线图解说明:

2-Ethyl-6-methyl-3,4-dihydropyrimidin-4-one (I) is alkylated with 4-(2-bromoethoxy)benzaldehyde (II) in the presence of NaH and LiBr to afford (III). Subsequent Knoevenagel condensation of benzaldehyde (III) with thiazolidine-2,4-dione (IV) employing piperidine/benzoic acid leads to the benzylidene thiazolidinedione (V), which is finally reduced to the title benzyl thiazolidinedione by catalytic hydrogenation over Pd/C.

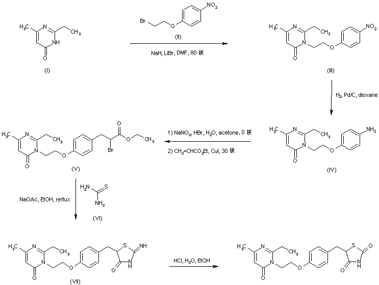
合成路线图解说明:

In an alternative procedure, pyrimidinone (I) is alkylated with 4-(2-bromoethoxy)nitrobenzene (II) to produce (III). Reduction of nitro compound (III) by catalytic hydrogenation affords aniline (IV). After diazotization of amine (IV), the resultant diazonium salt is coupled to ethyl acrylate in the presence of CuI, yielding the 2-bromo-3-arylpropionate (V). Cyclization of bromo ester (V) with thiourea (VI) furnishes the iminothiazolidinone (VII), which is finally hydrolyzed under acidic conditions to the target thiazolidinedione.

参考文献No.694823
标题:Synthesis and biological activity of novel pyrimidinone containing thiazolidinedione derivatives
作者:Madhavan, G.R.; Chakrabarti, R.; Vikramadithyan, R.K.; Mamidi, R.N.V.S.; Balraju, V.; Rajesh, B.M.; Misra, P.; Kumar, S.K.B.; Lohray, B.B.; Lohray, V.B.; Rajagopalan, R.
来源:Bioorg Med Chem 2002,10(8),2671
合成路线图解说明:

2-Ethyl-6-methyl-3,4-dihydropyrimidin-4-one (I) is alkylated with 4-(2-bromoethoxy)benzaldehyde (II) in the presence of NaH and LiBr to afford (III). Subsequent Knoevenagel condensation of benzaldehyde (III) with thiazolidine-2,4-dione (IV) employing piperidine/benzoic acid leads to the benzylidene thiazolidinedione (V), which is finally reduced to the title benzyl thiazolidinedione by catalytic hydrogenation over Pd/C.

Drug Information Express,Drug R&D,Chemical Database,Patent Search.
Copyright © 2006-2026 Drug Future. All rights reserved.Contact Us