【药物名称】BCN-326862, WIN-71425, SW-71425, SR-271425
化学结构式(Chemical Structure):
参考文献No.19435
标题:Thioxanthenone antitumor agents
作者:Miller, T.C.; Collins, J.C.; Wentland, M.P.; Perni, R.B.; Corbett, T.H.; Mattes, K.C. (Sanofi-Synth閘abo)
来源:EP 0518414; EP 0619315; EP 0882723; JP 1993178853; JP 1994340655; US 5346917
合成路线图解说明:

The bromination of 3-methoxybenzoic acid (I) with Br2 in refluxing acetic acid gives 2-bromo-5-methoxybenzoic acid (II), which is condensed with 3-chlorothiophenol (III) by means of cupric acetate in DMF at 150 C yielding the sulfide (IV). The cyclization of (IV) in sulfuric acid affords the thioxanthenone (V), which is condensed with 2-(diethylamino)ethylamine (VI) in pyridine at 115 C giving the corresponding 2-(diethylamino)ethylamino derivative (VII). The hydroxymethylation of (VII) with formaldehyde in hot 5N acetic acid yields the hydroxymethyl derivative (VIII), which is oxidized with MnO2 in hot toluene affording the corresponding aldehyde (IX). Finally, this compound is treated with formamide and formic acid at 170 C.

参考文献No.245178
标题:Anti-solid tumor efficacy and preparation of N-[[1-[[2-(diethylamino)ethyl]amino]-9-oxo-9H-thioxanthen-4-yl]methyl]methanesulfonamide (WIN 33377) and related derivatives
作者:Wentland, M.P.; et al.
来源:Bioorg Med Chem Lett 1994,4(4),609
合成路线图解说明:

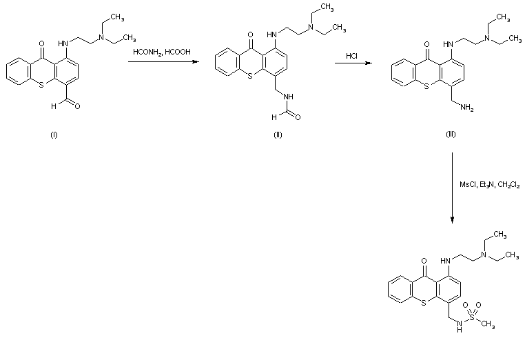
Leuckart reaction of aldehyde (I) with formamide/formic acid at 160 C provided formamide derivative (II), which was hydrolyzed with refluxing 2N HCl to afford benzylic amine (III). Finally, treatment with methanesulfonyl chloride, in the presence of NEt3 yielded the title sulfonamide.

合成路线图解说明:

The bromination of 3-methoxybenzoic acid (I) with Br2 in refluxing acetic acid gives 2-bromo-5-methoxybenzoic acid (II), which is condensed with 3-chlorothiophenol (III) by means of cupric acetate in DMF at 150 C yielding the sulfide (IV). The cyclization of (IV) in sulfuric acid affords the thioxanthenone (V), which is condensed with 2-(diethylamino)ethylamine (VI) in pyridine at 115 C giving the corresponding 2-(diethylamino)ethylamino derivative (VII). The hydroxymethylation of (VII) with formaldehyde in hot 5N acetic acid yields the hydroxymethyl derivative (VIII), which is oxidized with MnO2 in hot toluene affording the corresponding aldehyde (IX). Finally, this compound is treated with formamide and formic acid at 170 C.

参考文献No.469554
标题:Synthesis and antitumor activity of 4-aminomethylthioxanthenone and 5-aminomethylbenzothiopyranoindazole derivatives
作者:Perni, R.B.; Wentland, M.P.; Huang, J.I.; Powles, R.G.; Aldous, S.; Klingbeil, K.M.; Peverly, A.D.; Robinson, R.G.; Corbett, T.H.; Jones, J.L.; Mattes, K.C.; Rake, J.B.; Coughlin, S.A.
来源:J Med Chem 1998,41(19),3645
合成路线图解说明:

Leuckart reaction of aldehyde (I) with formamide/formic acid at 160 C provided formamide derivative (II), which was hydrolyzed with refluxing 2N HCl to afford benzylic amine (III). Finally, treatment with methanesulfonyl chloride, in the presence of NEt3 yielded the title sulfonamide.

合成路线图解说明:

The bromination of 3-methoxybenzoic acid (I) with Br2 in refluxing acetic acid gives 2-bromo-5-methoxybenzoic acid (II), which is condensed with 3-chlorothiophenol (III) by means of cupric acetate in DMF at 150 C yielding the sulfide (IV). The cyclization of (IV) in sulfuric acid affords the thioxanthenone (V), which is condensed with 2-(diethylamino)ethylamine (VI) in pyridine at 115 C giving the corresponding 2-(diethylamino)ethylamino derivative (VII). The hydroxymethylation of (VII) with formaldehyde in hot 5N acetic acid yields the hydroxymethyl derivative (VIII), which is oxidized with MnO2 in hot toluene affording the corresponding aldehyde (IX). Finally, this compound is treated with formamide and formic acid at 170 C.

Drug Information Express,Drug R&D,Chemical Database,Patent Search.
Copyright © 2006-2026 Drug Future. All rights reserved.Contact Us