【药物名称】BIM-46068
化学结构式(Chemical Structure):
参考文献No.41213
标题:Inhibitors of prenyl transferases
作者:Dong, Z.X.; Kim, S.H. (Biomeasure Inc.)
来源:WO 9800409
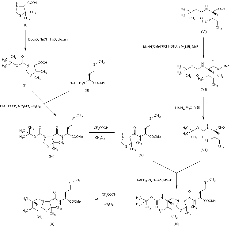
合成路线图解说明:

L-5,5-Dimethylthiazolidine-4-carboxylic acid (I) was protected as the N-Boc derivative (II) by treatment with Boc2O and subsequently coupled with L-methionine methyl ester (III) employing EDC and HOBt. The resulting Boc-dipeptide (IV) was then deprotected with trifluoroacetic acid to give (V). On the other hand, Boc-isoleucine (VI) was converted to the N-methoxy amide (VII) by condensation with N,O-dimethylhydroxylamine in the presence of O-benzotriazolyl tetramethyluronium hexafluorophosphate. Reduction of (VII) with LiAlH4 in cold Et2O produced the corresponding aldehyde (VIII). Reductive condensation of thiazolidine (V) with aldehyde (VIII) yielded adduct (IX). The Boc group of (IX) was then deprotected with trifluoroacetic acid to give (X).

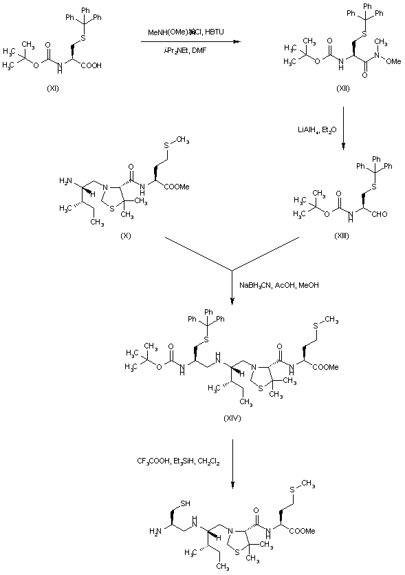
合成路线图解说明:

Protected L-cysteine (XI) was converted to aldehyde (XIII) via formation of the corresponding N-methoxy amide (XII) and further reduction with LiAlH4. Reductive condensation of amine (X) with aldehyde (XIII) in the presence of NaBH4CN furnished (XIV). The Boc group of (XIV) was finally deprotected by treatment with trifluoroacetic acid in the presence of triethylsilane.

Drug Information Express,Drug R&D,Chemical Database,Patent Search.
Copyright © 2006-2026 Drug Future. All rights reserved.Contact Us